Trang chủ Toán Học Lớp 4 Giúp với mình đang cần gấp 5 sao,hay nhất,cảm ơn...

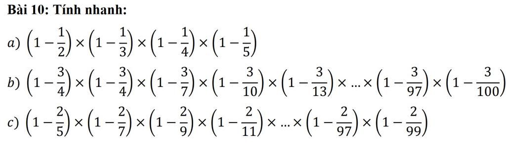
Giúp với mình đang cần gấp 5 sao,hay nhất,cảm ơn ghi chi tết giúp mình nha bài này 3 câu nên mình cho 30 điểmBài 10: Tính nhanh: a) (1-}) × (1-) ×(1--)×(1-)

Câu hỏi :

Giúp với mình đang cần gấp 5 sao,hay nhất,cảm ơn ghi chi tết giúp mình nha bài này 3 câu nên mình cho 30 điểm

image

Lời giải 1 :

10 . Mình giải luôn không chép lại đề !!!

a ) $\frac{1}{2}$ x $\frac{2}{3}$ x $\frac{3}{4}$ x $\frac{4}{5}$

= $\frac{1 x 2 x 3 x 4}{2 x 3 x 4 x 5}$

= $\frac{1}{5}$

b ) $\frac{1}{4}$ x $\frac{1}{4}$ x $\frac{4}{7}$ x $\frac{7}{10}$ x ... x $\frac{94}{97}$ x $\frac{97}{100}$

= $\frac{1 x 1 x 4 x 7 x .... x 97}{4 x 4 x 7 x 10 x ... x 100}$       

= $\frac{1 x 1}{4 x 100}$  

= $\frac{1}{400}$

c )  $\frac{3}{5}$ x $\frac{5}{7}$ x $\frac{7}{9}$ x $\frac{9}{11}$ x ... $\frac{95}{97}$ x $\frac{97}{99}$

= $\frac{3 x 5 x 7 x 9 x ... x 95 x 97}{5 x 7 x 9 x 11 x ... x 97 x 99}$

= $\frac{3}{99}$

= $\frac{1}{33}$

CHÚC TUS HỌC TỐT ! XIN HAY NHẤT ! 

#phuonguyen12032011        

Thảo luận

Bạn có biết?

Toán học là môn khoa học nghiên cứu về các số, cấu trúc, không gian và các phép biến đổi. Nói một cách khác, người ta cho rằng đó là môn học về "hình và số". Theo quan điểm chính thống neonics, nó là môn học nghiên cứu về các cấu trúc trừu tượng định nghĩa từ các tiên đề, bằng cách sử dụng luận lý học (lôgic) và ký hiệu toán học. Các quan điểm khác của nó được miêu tả trong triết học toán. Do khả năng ứng dụng rộng rãi trong nhiều khoa học, toán học được mệnh danh là "ngôn ngữ của vũ trụ".

Nguồn : Wikipedia - Bách khoa toàn thư

Tâm sự 4

Lớp 4 - Năm thứ bốn ở cấp tiểu học, kiến thức ngày một tăng, sắp đến năm cuối cấp nên các em cần chú đến học tập nhé!

Nguồn : ADMIN :))

Liên hệ hợp tác hoặc quảng cáo: gmail

Điều khoản dịch vụ

Copyright © 2021 HOCTAPSGK