Trang chủ Toán Học Lớp 12 Cầu 9: Hàm số y=-x' + 2x -x nghịch biên...

Cầu 9: Hàm số y=-x' + 2x -x nghịch biên trên khoảng А. (0;1). (B. (1; +). С. D. Câu 10: Đường thắng x = 2, y = 1 lần lượt là tiệm cận đứng và tiệm cận ngan

Câu hỏi :

Giải giùm câu 11 với mọi người ơi

image

Lời giải 1 :

Bạn tham khảo bài

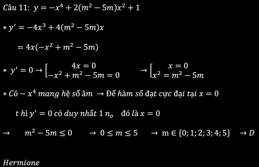
image

Thảo luận

-- S có m2-5m<= 0 z??
-- Giải y' ra có x=0 và x^2 =m^2 -5m . Mà hệ số -x^4 âm lại muốn x=0 đạt cực đại ->-> chỉ có 1 no lẻ duy nhất là x=0 ->-> m^2 -5m <=0 Vì x^2 chỉ luôn >=0 . Nếu x^2 không có nghiệm thì chỉ có thể m^2-5m<=0
-- Ý là phải để x^2 không có nghiệm à?? Thì mới có x=0 là nghiệm duy nhất mới đạt đc 1 cực đại?
-- Ờ cũng không hẳn là không có nghiệm. Mà là hoặc là x^2 =0 hoặc là x^2 không có nghiệm.
-- mik hiểu rồi nhưng cho mik hỏi nha mik dùng y'' <0 thì lại thiếu nghiệm mik thấy vẫn nhiều bài kiểu này dùng đc y''
-- * Cái vấn đề ở đây k phải là y'' mà các bài này khác nhau ở y' Có bài y' (0) =0 sẽ ra nghiệm m nhưng có bài đạo y' ra thay x=0 thì y'=0 đã bằng 0 mà chả liên quan gì đến ts m
-- * với những bài hàm số có chứa x mũ cao x^8 x^12 x^20 trở lên thì y' và y'' không thể dùng được.
-- toang thật mik đã làm nhanh lại còn sai . quê thật

Bạn có biết?

Toán học là môn khoa học nghiên cứu về các số, cấu trúc, không gian và các phép biến đổi. Nói một cách khác, người ta cho rằng đó là môn học về "hình và số". Theo quan điểm chính thống neonics, nó là môn học nghiên cứu về các cấu trúc trừu tượng định nghĩa từ các tiên đề, bằng cách sử dụng luận lý học (lôgic) và ký hiệu toán học. Các quan điểm khác của nó được miêu tả trong triết học toán. Do khả năng ứng dụng rộng rãi trong nhiều khoa học, toán học được mệnh danh là "ngôn ngữ của vũ trụ".

Nguồn : Wikipedia - Bách khoa toàn thư

Tâm sự 12

Lớp 12 - Năm cuối ở cấp tiểu học, năm học quan trọng nhất trong đời học sinh trải qua bao năm học tập, bao nhiêu kì vọng của người thân xung quanh ta. Những nỗi lo về thi đại học và định hướng tương lai thật là nặng. Hãy tin vào bản thân là mình sẽ làm được rồi tương lai mới chờ đợi các em!

Nguồn : ADMIN :))

Liên hệ hợp tác hoặc quảng cáo: gmail

Điều khoản dịch vụ

Copyright © 2021 HOCTAPSGK