Trang chủ Hóa Học Lớp 8 mọi người giúp mik nha mai mik thi rồi câu...

mọi người giúp mik nha mai mik thi rồi câu hỏi 1301900 - hoctapsgk.com

Câu hỏi :

mọi người giúp mik nha mai mik thi rồi

image

Lời giải 1 :

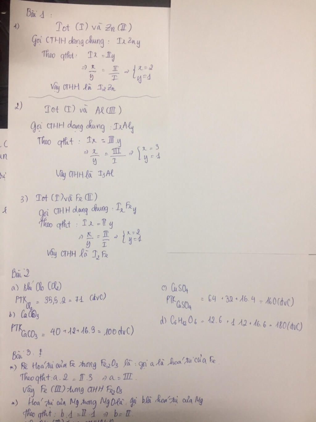
Mik chỉ ghi đáp án thui nhá!! Bài 1: *) I2Zn; *) I3Al; *) I2Fe (Bài 1 này bạn sử dụng hoàn toàn Quy tắc Hoá trị nhé!!) Bài 2: *) Cl2 = 35,5 . 2 = 71 (đvC); *) CaCO3 = 40 + 12 + 16.3 = 100 (đvC); *) CuSO4 = 64 + 32 + 16.4 = 160 (đvC); C6H12O6 = 12.6 + 1.12+16.6 = 180 (đvC). (Bài 2 bạn áp dụng đúng quy tắc tính PTK nhé!!). Bài 3: Fe (III) trong CTHH Fe2O3; Mg (II) trong CTHH MgO. (Đây nhé bạn. 100% đúng nha. Vote 5* cho mik nhé. Chúc bạn học tốt)
image

Thảo luận

-- trình cách làm đầy đủ ra bạn
-- Bạn đợi mik 10' đc k? Tại trình bày dài quá :((
-- mà sao bạn biết chắc chắn đúng
-- Mik cx k phải thuộc dạng quá ngu Hoá bạn à
-- Vs cả bài này lp mik lm nhuần nhuyễn rùi

Lời giải 2 :

Lấy hóa trị nguyên tố này làm chỉ số nguyên tố kia và làm tương tự để xác định hóa trị, chỉ số nguyên tố này là hóa trị nguyên tố kia(trường hợp ngoại lệ không áp dụng được)

 

image

Bạn có biết?

Hóa học, một nhánh của khoa học tự nhiên, là ngành nghiên cứu về thành phần, cấu trúc, tính chất, và sự thay đổi của vật chất.Hóa học nói về các nguyên tố, hợp chất, nguyên tử, phân tử, và các phản ứng hóa học xảy ra giữa những thành phần đó.Hóa học đôi khi được gọi là "khoa học trung tâm" vì nó là cầu nối các ngành khoa học tự nhiên khác như vật lý học, địa chất học và sinh học.

Nguồn : Wikipedia - Bách khoa toàn thư

Tâm sự 8

Lớp 8 - Năm thứ ba ở cấp trung học cơ sở, học tập bắt đầu nặng dần, sang năm lại là năm cuối cấp áp lực lớn dần nhưng các em vẫn phải chú ý sức khỏe nhé!

Nguồn : ADMIN :))

Liên hệ hợp tác hoặc quảng cáo: gmail

Điều khoản dịch vụ

Copyright © 2021 HOCTAPSGK