Trang chủ Hóa Học Lớp 8 Bài 1: Hoàn thành dãy các phản ứng sau a)...

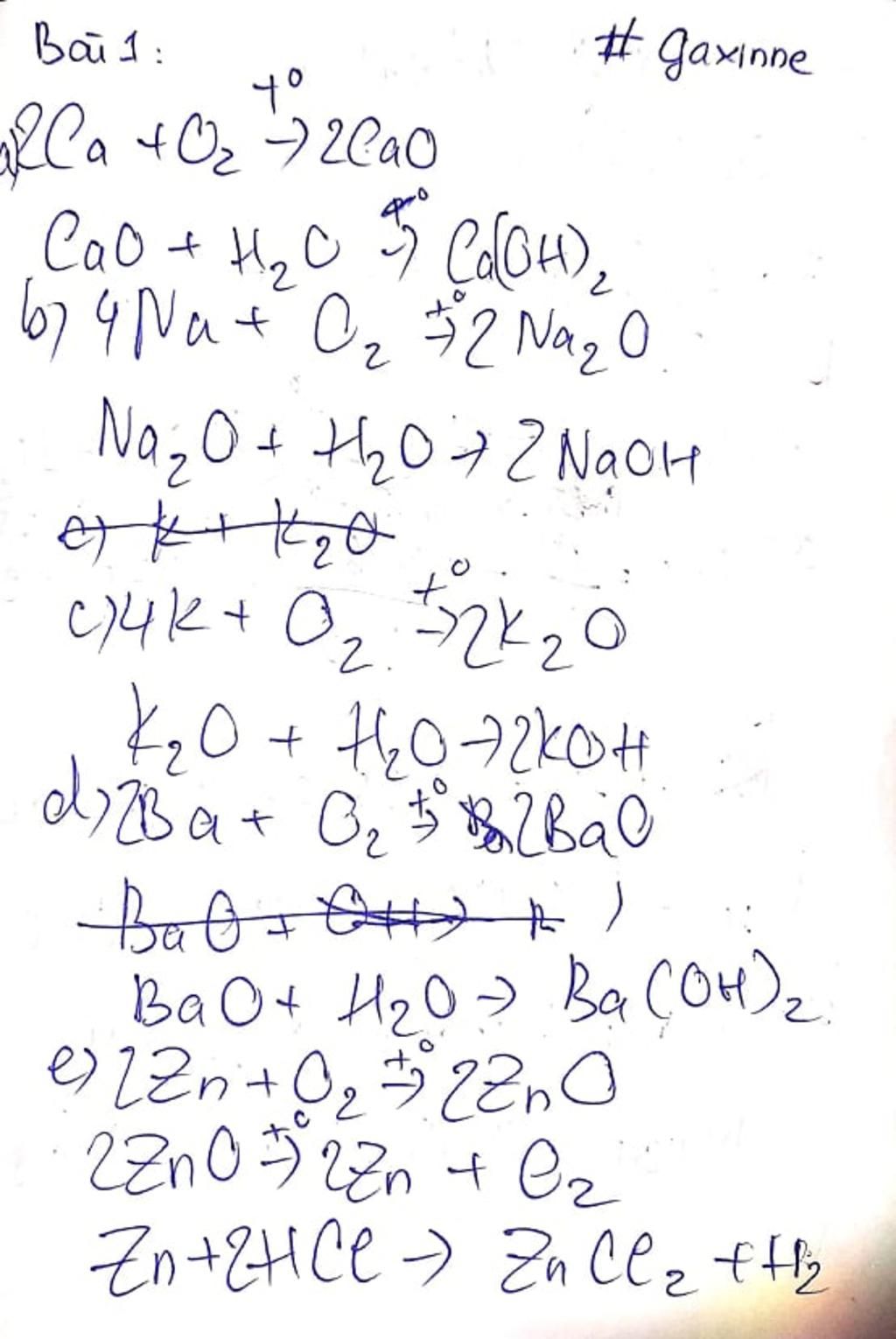
Bài 1: Hoàn thành dãy các phản ứng sau a) Са— СаО — Са(ОН)2. b) Na Na20 NaOH. К2о — КОН. d) Bа - ВаО — Ва(ОН)2. e) Zn → ZnO → Zn→ ZNC12 f) Fe Fe;O4 → Fe FE

Câu hỏi :

Giúp mình với. Chi tiết giúp mình nhé

image

Lời giải 1 :

Giải thích các bước giải:

#gaxinne

Chú ý: mình sửa lại chuỗi phản ứng e bài 1 nhe (trong ảnh sai)

2Zn+O2->2ZnO

ZnO+H2->Zn+H2O

Zn+2HCl->ZnCl2+H2

image
image
image
image

Thảo luận

-- cậu ơi câu e bài 1 mình bị nhầm cho mình sửa lại nhé

Lời giải 2 :

Đáp án:

`1.` 

`a,` 

`2Ca+O_2` $\xrightarrow[]{t^o}$ `2CaO`

`CaO+H_2O` `->` `Ca(OH)_2`

`b,`

`4Na+O_2` $\xrightarrow[]{t^o}$ `2Na_2O`

`Na_2O+H_2O` `->` `2NaOH`

`c,` 

`4K+O_2` $\xrightarrow[]{t^o}$ `2K_2O`

`K_2O+H_2O` `->` `2KOH`

`d,`

`2Ba+O_2` $\xrightarrow[]{t^o}$ `2BaO`

`BaO+H_2O` `->` `Ba(OH)_2`

`e,`

`2Zn+O_2` $\xrightarrow[]{t^o}$ `2ZnO`

`ZnO+H_2O` `->` `Zn(OH)_2`

`f,`

`3Fe+2O_2` $\xrightarrow[]{t^o}$ `Fe_3O_4`

`Fe_3O_4+4H_2`$\xrightarrow[]{t^o}$ `3Fe+4H_2O`

`Fe+H_2SO_4` `->` `FeSO_4+H_2`

`2.`

`n_{K}={13,65}/{39}=0,35(mol)`

`2K+2H_2O` `->` `2KOH+H_2`

     `2`         `2`               `2`        ` 1`          `(tlpt)`

    `0,35`     `0,35`         `0,35`   `0,175`          `(mol)`

`a,` `V_{H_2(đktc)}=0,175×22,4=3,92(l)`

`b,` `m_{KOH}=0,35×56=19,6(g)`

`c,` Nếu 1 bạn học sinh đem nhúng mẩu quỳ tím vào dung dịch trên, theo em quỳ tím sẽ chuyển màu xanh `(Bazơ)`

`3.`

`n_{CaO}={11,2}/{56}=0,2(mol)`

`a,`

`CaO+H_2O` `->` `Ca(OH)_2`

     `1`         `1`               `1`             `(tlpt)`

    `0,2`     `0,2`            `0,2`           `(mol)`

`b,` `m_{Ca(OH)_2}=0,2×74=14,8(g)`

`c,` Nếu 1 bạn học sinh đem nhúng mẩu quỳ tím vào dung dịch trên, theo em quỳ tím sẽ chuyển màu xanh `(Bazơ)`

`3.`

`n_{Ba}={13,7}/{137}=0,1(mol)`

`n_{HCl}={10,95}/{36,5}=0,3(mol)`

`a,`

                 `Ba+2HCl` `->` `BaCl_2+H_2` 

                    `1`       `2`                `1`       `1 `           `(tlpt)`

Ban đầu:      `0,1`    `0,3`

Ta có     :    `{0,1}/1` `<` `{0,3}/{2}`           `->` `HCl` dư, p.ứng theo `Ba`

P. ứng   :       `0,1`        `0,2`           `0,1`       `0,1`        `(mol)`

Sau p.ứ :          `hết`      `0,1`          `0,1`        `0,1`         `(mol)`

`b,` `Ba` hết, `HCl` dư

`c,` `V_{H_2(đktc)}=0,1×22,4=2,24(l)`

`#begiaphuong`

Bạn có biết?

Hóa học, một nhánh của khoa học tự nhiên, là ngành nghiên cứu về thành phần, cấu trúc, tính chất, và sự thay đổi của vật chất.Hóa học nói về các nguyên tố, hợp chất, nguyên tử, phân tử, và các phản ứng hóa học xảy ra giữa những thành phần đó.Hóa học đôi khi được gọi là "khoa học trung tâm" vì nó là cầu nối các ngành khoa học tự nhiên khác như vật lý học, địa chất học và sinh học.

Nguồn : Wikipedia - Bách khoa toàn thư

Tâm sự 8

Lớp 8 - Năm thứ ba ở cấp trung học cơ sở, học tập bắt đầu nặng dần, sang năm lại là năm cuối cấp áp lực lớn dần nhưng các em vẫn phải chú ý sức khỏe nhé!

Nguồn : ADMIN :))

Liên hệ hợp tác hoặc quảng cáo: gmail

Điều khoản dịch vụ

Copyright © 2021 HOCTAPSGK