Trang chủ Hóa Học Lớp 8 B. PHẢN TỰ LUẬN Bài 1. Các cách viết sau...

B. PHẢN TỰ LUẬN Bài 1. Các cách viết sau chi ý gi: b)Bảng chủ số và KHHH ly biểu diển: 2 phẩm từ khi nite: 2 nguyên từ sải 5 phần từ khí hidro 6 nguyên từ

Câu hỏi :

làm hết cho mình câu 4 đến câu 7 nhé!!!

image

Lời giải 1 :

Câu 4:hình

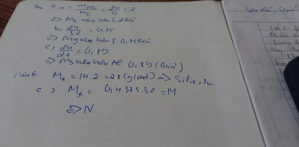
Câu 5

`c,`

`\frac{M_(Mg)}{M_(S)}=\frac{24}{32}=0,75`

Vậy `Mg` nặng bằng `0,75` lần `S`

`d,`

`\frac{M_(Mg)}{M_(Al)}=\frac{24}{27}=8/9`

Vậy `Mg` nặng bằng `8/9` lần `S`

Câu 6

`a,`

`M_(X)=2.14=28`

`=>X` là `Si`

`b,`

`M_(X)=0,4375.32=14`

`=>X` là `N`

image

Thảo luận

Lời giải 2 :

Đáp án:

 

Giải thích các bước giải:

 

image
image

Bạn có biết?

Hóa học, một nhánh của khoa học tự nhiên, là ngành nghiên cứu về thành phần, cấu trúc, tính chất, và sự thay đổi của vật chất.Hóa học nói về các nguyên tố, hợp chất, nguyên tử, phân tử, và các phản ứng hóa học xảy ra giữa những thành phần đó.Hóa học đôi khi được gọi là "khoa học trung tâm" vì nó là cầu nối các ngành khoa học tự nhiên khác như vật lý học, địa chất học và sinh học.

Nguồn : Wikipedia - Bách khoa toàn thư

Tâm sự 8

Lớp 8 - Năm thứ ba ở cấp trung học cơ sở, học tập bắt đầu nặng dần, sang năm lại là năm cuối cấp áp lực lớn dần nhưng các em vẫn phải chú ý sức khỏe nhé!

Nguồn : ADMIN :))

Liên hệ hợp tác hoặc quảng cáo: gmail

Điều khoản dịch vụ

Copyright © 2021 HOCTAPSGK