Trang chủ Toán Học Lớp 7 = Thu gọn đa thức al 4x - 5a +...

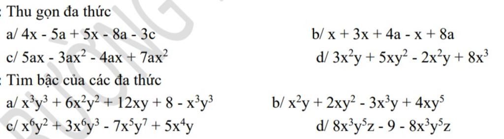
= Thu gọn đa thức al 4x - 5a + 5x - 8a - 3c c/ 5ax - 3ax? - 4ax + 7ax? b/ x + 3x + 4a - x + 8a d/ 3x?y + 5xy? - 2x²y + 8x³ = Tìm bậc của các đa thức b/ x²y

Câu hỏi :

Mọi người giúp mik bài này với ạ !!!

image

Lời giải 1 :

`1 :` Thu gọn đa thức

`a``/` `4x - 5a + 5x - 8a - 3c`

 `= (4x + 5x) + (-5a - 8a) - 3c`

 `= 9x - 13a - 3c`

`b``/` `x + 3x + 4a - x + 8a`

 `= (x + 3x-x)+(4a+8a)`

 `= 3x + 12a`

`c``/` `5ax - 3ax^2 - 4ax + 7ax^2`

 `= (5ax - 4ax) + (-3ax^2 + 7ax^2)`

 `= ax + 4ax^2`

`d``/` `3x^2y + 5xy^2 - 2x^2y + 8x^3`

 `= (3x^2y-2x^2y)+5xy^2+8x^3`

 `= x^2y+5xy^2 + 8x^3`

 ` `

`2 :` Tìm bậc của cách đa thức

`-` Bậc của đa thức là bậc của hạng tử có bậc cao nhất trong dạng thu gọn của đa thức đó.

`a``/` `x^3y^3 + 6x^2y^2 + 12xy + 8 - x^3y^3`

 `= (x^3y^3 - x^3y^3) + 6x^2y^2 + 12xy + 8`

 `= 6x^2y^2 + 12xy + 8`

`-` Bậc : `4`

`b``/` `x^2y + 2xy^2 - 3x^3y + 4xy^5`

`-` Bậc : `6`

`c``/` `x^6y^2 + 3x^6y^3 - 7x^5y^7 + 5x^4y`

`-` Bậc : `12`

`d``/` `8x^3y^5z - 9 - 8x^3y^5z`

 `= (8x^3y^5 - 8x^3y^5) - 9`

 `= -9`

`-` Bậc : `0`

`-----------------------`
$# datcony$
`\text{XIN 5 sao⭐ + Cảm ơn}`❤️ `\text{+ CTLHN !!!}`

Thảo luận

-- https://hoidap247.com/cau-hoi/4206957
-- bạn chia làm 2 câu đc ko vì nó hơi dài ạ
-- Chia làm 2 như nào ạ bạn ?
-- Thôi ko cần đâu ạ
-- Vg
-- Bạn giúp mik với mik xin cho bạn 5 sao + Cảm ơn + CTLHN !!!
-- Hơi dài nên bạn đợi xíu nha ^^
-- Dạ ok bạn

Lời giải 2 :

gửi ảnh 

 

image
image

Bạn có biết?

Toán học là môn khoa học nghiên cứu về các số, cấu trúc, không gian và các phép biến đổi. Nói một cách khác, người ta cho rằng đó là môn học về "hình và số". Theo quan điểm chính thống neonics, nó là môn học nghiên cứu về các cấu trúc trừu tượng định nghĩa từ các tiên đề, bằng cách sử dụng luận lý học (lôgic) và ký hiệu toán học. Các quan điểm khác của nó được miêu tả trong triết học toán. Do khả năng ứng dụng rộng rãi trong nhiều khoa học, toán học được mệnh danh là "ngôn ngữ của vũ trụ".

Nguồn : Wikipedia - Bách khoa toàn thư

Tâm sự 7

Lớp 7 - Năm thứ hai ở cấp trung học cơ sở, một cuồng quay mới lại đến vẫn bước tiếp trên đường đời học sinh. Học tập vẫn là nhiệm vụ chính!

Nguồn : ADMIN :))

Liên hệ hợp tác hoặc quảng cáo: gmail

Điều khoản dịch vụ

Copyright © 2021 HOCTAPSGK