Trang chủ Toán Học Lớp 7 Câu 11. Tích của các đơn thức 7xy ; (-3)...

Câu 11. Tích của các đơn thức 7xy ; (-3) x³y và (-2) là : С. - 42 хбу" В. 42 хбу8 Câu 12. Bậc của đơn thức (- 2x') 3x*y là : В. 5 A. 42 x°y7 D. 42 x'ys С.

Câu hỏi :

5 phút trhooi nhá fffffffffcvv

image

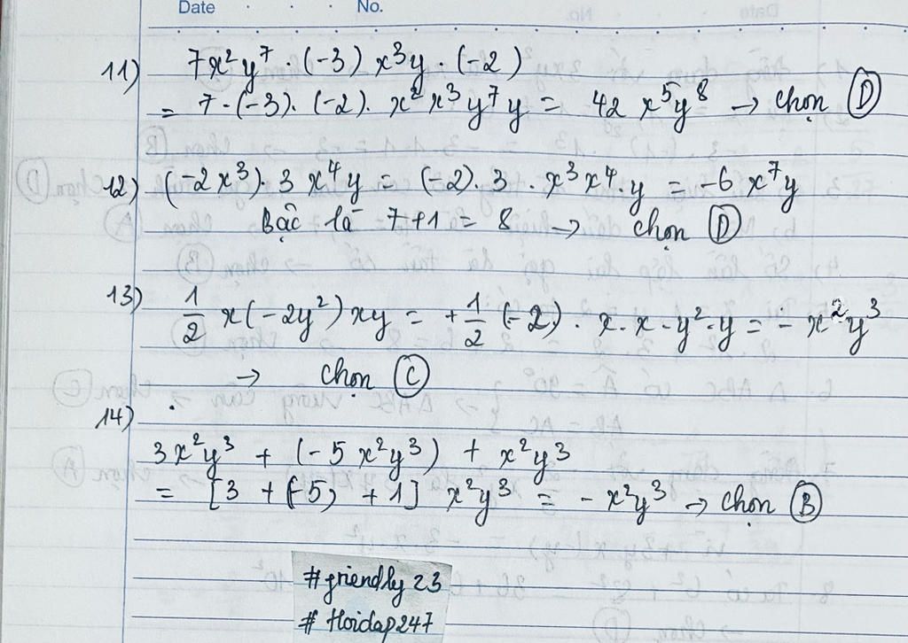
Lời giải 1 :

Gửi bạn

image

Thảo luận

-- ``
-- ``
-- Ủa j vậy trời
-- là sao ??
-- Bn rảnh quá ha
-- bạn ơi nhóm mk còn tuyển tv ko ặ
-- Hi, ko bn à
-- bạn oi

Lời giải 2 :

#tannopro

Câu 11:

D. 42 x^5y^8. Giải thích: (7 . -3 . -2) . (x^2 . x^3) . (y^7 . y) = 42x^5y^8

Câu 12:

D. 8. Giải thích: (x^3 . x^ 4) . y = x^7y, bậc: 8

Câu 13:

C. 1/2x(-2y^2)xy

Câu 14:

A. -2x^2y^3. Giải thích: (3 + -5)x^2y^3 = -2x^2y^3

Mình không biết xài Latex mong bạn thông cảm

Chúc bạn học tốt!

Bạn có biết?

Toán học là môn khoa học nghiên cứu về các số, cấu trúc, không gian và các phép biến đổi. Nói một cách khác, người ta cho rằng đó là môn học về "hình và số". Theo quan điểm chính thống neonics, nó là môn học nghiên cứu về các cấu trúc trừu tượng định nghĩa từ các tiên đề, bằng cách sử dụng luận lý học (lôgic) và ký hiệu toán học. Các quan điểm khác của nó được miêu tả trong triết học toán. Do khả năng ứng dụng rộng rãi trong nhiều khoa học, toán học được mệnh danh là "ngôn ngữ của vũ trụ".

Nguồn : Wikipedia - Bách khoa toàn thư

Tâm sự 7

Lớp 7 - Năm thứ hai ở cấp trung học cơ sở, một cuồng quay mới lại đến vẫn bước tiếp trên đường đời học sinh. Học tập vẫn là nhiệm vụ chính!

Nguồn : ADMIN :))

Liên hệ hợp tác hoặc quảng cáo: gmail

Điều khoản dịch vụ

Copyright © 2021 HOCTAPSGK