Trang chủ Toán Học Lớp 10 CAU 4 (hp) (nd= ty hey I hoại I) Xet...

CAU 4 (hp) (nd= ty hey I hoại I) Xet sử bun thứn (dống bin, nghich bùn) tai đế cua mô HS au : a) qu by 9 a, y= 2x-4 tren R; by y= 3x +6 trên IR C) e, y= -X

Câu hỏi :

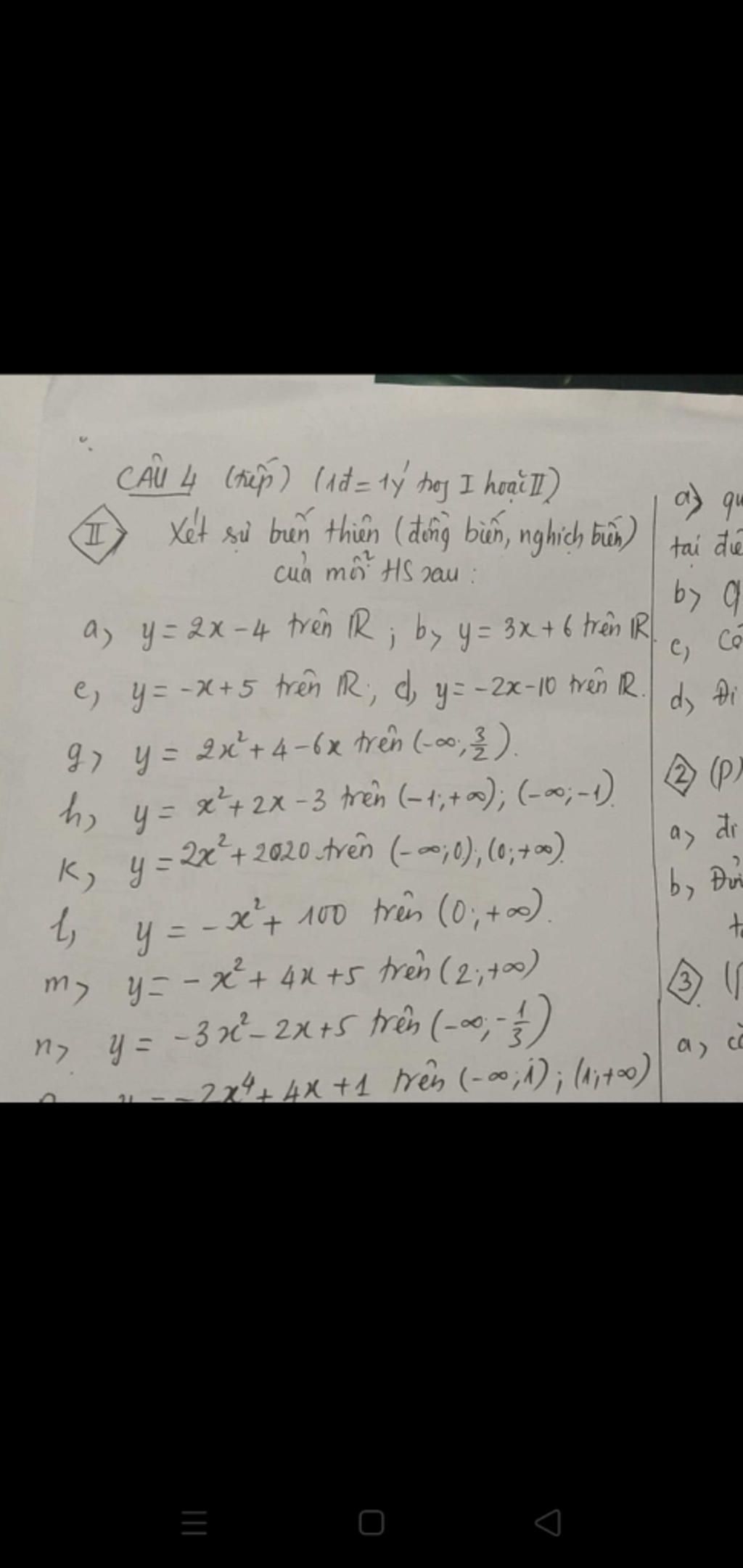
Chỉ e câu g với ạkkkkk

image

Lời giải 1 :

Đáp án:

Hàm số nghịch biến trên \(\left( { - \infty ;\dfrac{3}{2}} \right)\)

Giải thích các bước giải:

\(\begin{array}{l}
Xét:\left\{ \begin{array}{l}
{x_1};{x_2} \in R\\
{x_1} \ne {x_2}
\end{array} \right.\\
\dfrac{{f\left( {{x_1}} \right) - f\left( {{x_2}} \right)}}{{{x_1} - {x_2}}} = \dfrac{{2{x_1}^2 - 6{x_1} + 4 - \left( {2{x_2}^2 - 6{x_2} + 4} \right)}}{{{x_1} - {x_2}}}\\
 = \dfrac{{2{x_1}^2 - 6{x_1} - 2{x_2}^2 + 6{x_2}}}{{{x_1} - {x_2}}}\\
 = \dfrac{{2\left( {{x_1}^2 - {x_2}^2} \right) - 6\left( {{x_1} - {x_2}} \right)}}{{{x_1} - {x_2}}}\\
 = \dfrac{{2\left( {{x_1} - {x_2}} \right)\left( {{x_1} + {x_2}} \right) - 6\left( {{x_1} - {x_2}} \right)}}{{{x_1} - {x_2}}}\\
 = \dfrac{{\left( {{x_1} - {x_2}} \right)\left( {2\left( {{x_1} + {x_2}} \right) - 6} \right)}}{{{x_1} - {x_2}}}\\
 = 2\left( {{x_1} + {x_2}} \right) - 6\\
 = 2{x_1} - 3 + 2{x_2} - 3\\
Do:D = \left( { - \infty ;\dfrac{3}{2}} \right)\\
 \to x < \dfrac{3}{2}\\
 \to 2x < 3\\
 \to 2x - 3 < 0\\
 \to 2{x_1} - 3 + 2{x_2} - 3 < 0\\
 \to y < 0
\end{array}\)

⇒ Hàm số nghịch biến trên \(\left( { - \infty ;\dfrac{3}{2}} \right)\)

Thảo luận

Bạn có biết?

Toán học là môn khoa học nghiên cứu về các số, cấu trúc, không gian và các phép biến đổi. Nói một cách khác, người ta cho rằng đó là môn học về "hình và số". Theo quan điểm chính thống neonics, nó là môn học nghiên cứu về các cấu trúc trừu tượng định nghĩa từ các tiên đề, bằng cách sử dụng luận lý học (lôgic) và ký hiệu toán học. Các quan điểm khác của nó được miêu tả trong triết học toán. Do khả năng ứng dụng rộng rãi trong nhiều khoa học, toán học được mệnh danh là "ngôn ngữ của vũ trụ".

Nguồn : Wikipedia - Bách khoa toàn thư

Tâm sự 10

Lớp 10 - Năm thứ nhất ở cấp trung học phổ thông, năm đầu tiên nên có nhiều bạn bè mới đến từ những nơi xa hơn vì ngôi trường mới lại mỗi lúc lại xa nhà mình hơn. Được biết bên ngoài kia là một thế giới mới to và nhiều điều thú vị, một trang mới đang chò đợi chúng ta.

Nguồn : ADMIN :))

Liên hệ hợp tác hoặc quảng cáo: gmail

Điều khoản dịch vụ

Copyright © 2021 HOCTAPSGK