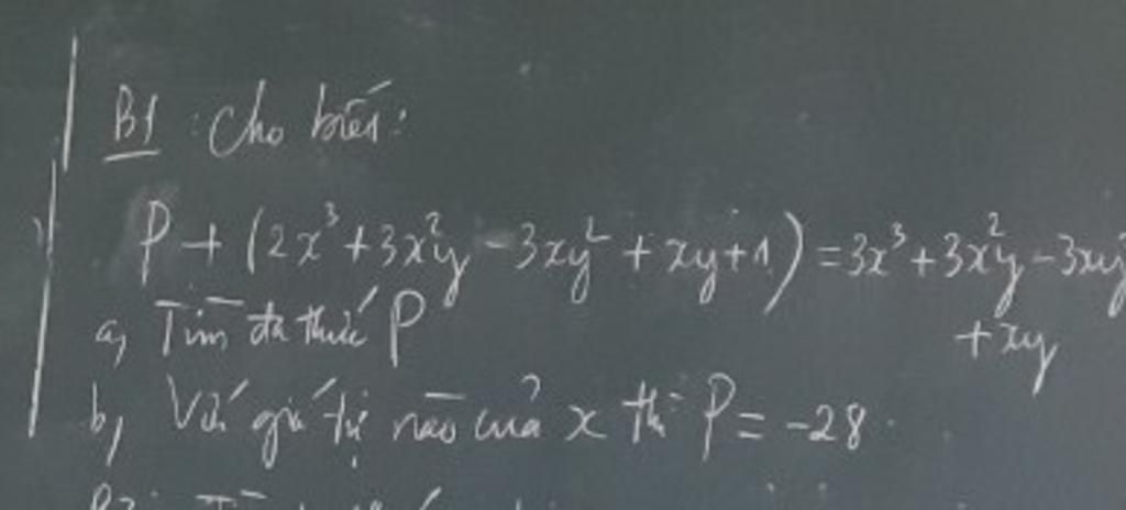
Trang chủ Toán Học Lớp 7 a I'im de thile P ras ia x thi P=...

a I'im de thile P ras ia x thi P= -29 - câu hỏi 4183430

Câu hỏi :

Giúp em với ạ Em cảm ơn

image

Lời giải 1 :

`a) P+(2x^3+3x^2y-3xy^2+xy+1)=3x^3+3x^2y-3xy^2+xy`

`⇔ P=(3x^3+3x^2y-3xy^2+xy)-(2x^3+3x^2y-3xy^2+xy+1)`

`⇔ P=3x^3+3x^2y-3xy^2+xy -2x^3-3x^2y+3xy^2-xy-1`

`⇔ P= (3x^3-2x^3)+(3x^2y-3x^2y)-(3xy^2-3xy^2)+(xy-xy)-1`

`⇔ P= x^3-1`

`b) P=-28`

`⇔ x^3-1=-28`

`⇔ x^3-1+28=0`

`⇔ x^3+27=0`

`⇔ x^3=-27`

`⇔ x=-3`

          Vậy với `x=-3` thì `P=-28`

Thảo luận

-- Vâng có chứ ạ, nhưng em phải ra tay để bảo vệ Tường thui, vì Tường là người tốt ạ.
-- thế thì con đường đi đến tính yêu màu hồng của em còn gian nan chán :33
-- :v Nhưng iem sẽ quyết ^^
-- mún tt đc Hân thì phải qua ải của bạn Hân trc :33
-- He he ^^
-- chứ ko cứ chơi chò mách phụ huynh thì ko ai đỡ nổi đâu
-- em tt kiểu gì mà bỏ rơi nhân vật chính thế
-- ko ý là em tt Hân mà cứ đi nhắn với ông kia là sao :>

Lời giải 2 :

Đáp án:

Bài `1`:

`a) P + (2x^3 + 3x^2y - 3xy^2 + xy + 1) = 3x^3 + 3x^2y - 3xy^2 + xy`

   `P = 3x^3 + 3x^2y - 3xy^2 + xy - (2x^3 + 3x^2y - 3xy^2 + xy + 1)`

   `P = 3x^3 + 3x^2y - 3xy^2 + xy - 2x^3 - 3x^2y + 3xy^2 - xy - 1`

   `P = x^3 - 1`

`b) P = - 28`

`=> x^3 - 1 = -28`

`x^3 = -28 + 1`

`x^3 = -27`

`x^3 = (-3)^3`

`=> x = -3`

Vậy `x = -3` thì `P = -28`

 

Bạn có biết?

Toán học là môn khoa học nghiên cứu về các số, cấu trúc, không gian và các phép biến đổi. Nói một cách khác, người ta cho rằng đó là môn học về "hình và số". Theo quan điểm chính thống neonics, nó là môn học nghiên cứu về các cấu trúc trừu tượng định nghĩa từ các tiên đề, bằng cách sử dụng luận lý học (lôgic) và ký hiệu toán học. Các quan điểm khác của nó được miêu tả trong triết học toán. Do khả năng ứng dụng rộng rãi trong nhiều khoa học, toán học được mệnh danh là "ngôn ngữ của vũ trụ".

Nguồn : Wikipedia - Bách khoa toàn thư

Tâm sự 7

Lớp 7 - Năm thứ hai ở cấp trung học cơ sở, một cuồng quay mới lại đến vẫn bước tiếp trên đường đời học sinh. Học tập vẫn là nhiệm vụ chính!

Nguồn : ADMIN :))

Liên hệ hợp tác hoặc quảng cáo: gmail

Điều khoản dịch vụ

Copyright © 2021 HOCTAPSGK