Trang chủ Toán Học Lớp 7 Câu 4: Cho đa thức f(x) = 3-2x+5x² và g(x)...

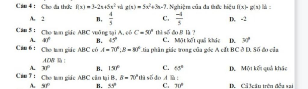
Câu 4: Cho đa thức f(x) = 3-2x+5x² và g(x) = 5x²+3x-7. Nghiệm của đa thức hiệu f(x)- g(x) là : %3D А. 2 В. С. D. -2 Câu 5: Cho tam giác ABC vuông tại A, có

Câu hỏi :

hépppppppppppppppppppppppppppp

image

Lời giải 1 :

Đáp án:

 Câu 4 : A.2

Câu 5 : C. kết quả khác : 10 độ

Câu 6 : C . 65 độ

Câu 7 : B .55 độ

Giải thích các bước giải:

 Câu 4 : 

f(x) - g(x) =` 3 - 2x +  5x ^2 - 5x^2 - 3x + 7`

               = `( 3 + 7 ) + ( 5x^2 - 5x ^2 ) - ( 2x +3x )`

               = `10 + 0 - 5x = 10 - 5x`

Để tìm nghiệm của f(x) - g(x) nên :

   f(x) - g(x) = 0

⇔ 10 - 5x = 0

⇔ 5x = 10

⇔ x = 10 : 5 = 2

 Vậy ta chọn đáp án A.2

Câu 5 :

    Xét tam giác ABC vuông tại A ta có  :

                   góc B + góc C  = 90 ( tính chất tam giác vuông )

               ⇔ góc B = 90 - 80

              ⇔ góc B = 10 độ

Vậy ta chọn đáp án C . Một kết quả khác 

Câu 6 :

    Vì AD là tia phân giác của góc A ⇒ góc BAD = góc CAD = `70/2` = 35 độ

Xét tam giác ADB có :

  góc ADB + góc ABD + góc BAD = 180 độ ( tính chất tổng 3 góc )

⇒ góc ADB = 180 - 35 - 80 = 65 độ

Vậy ta chọn đáp an C . 65 độ

Câu 7 :

       Vì tam giác ABC cân tại B ⇒ góc C = góc A

             Xét tam giác ABC có :

                 góc ABC + góc CAB + góc ACB = 180 độ ( tính chất tổng 3 góc )

              ⇒ 70  + góc CAB . 2 = 180 độ

              ⇒ góc CAB . 2 = 180 - 70 = 110

              ⇒ góc CAB = 110 : 2 = 55 độ

Vậy ta chọn đáp an B.55

                    Chúc tus học tốt ạ~~

Thảo luận

-- https://hoidap247.com/cau-hoi/4164496 `=>` buff bẩn còn sai r cãi
-- nay off sớm nhe bệnh r
-- dza
-- pay `50` điểm nhs
-- https://hoidap247.com/thong-tin-ca-nhan/1098469 `->` BUFF BẨN
-- t báo ad cb bay `50`đ nhé
-- ủa
-- buff j

Bạn có biết?

Toán học là môn khoa học nghiên cứu về các số, cấu trúc, không gian và các phép biến đổi. Nói một cách khác, người ta cho rằng đó là môn học về "hình và số". Theo quan điểm chính thống neonics, nó là môn học nghiên cứu về các cấu trúc trừu tượng định nghĩa từ các tiên đề, bằng cách sử dụng luận lý học (lôgic) và ký hiệu toán học. Các quan điểm khác của nó được miêu tả trong triết học toán. Do khả năng ứng dụng rộng rãi trong nhiều khoa học, toán học được mệnh danh là "ngôn ngữ của vũ trụ".

Nguồn : Wikipedia - Bách khoa toàn thư

Tâm sự 7

Lớp 7 - Năm thứ hai ở cấp trung học cơ sở, một cuồng quay mới lại đến vẫn bước tiếp trên đường đời học sinh. Học tập vẫn là nhiệm vụ chính!

Nguồn : ADMIN :))

Liên hệ hợp tác hoặc quảng cáo: gmail

Điều khoản dịch vụ

Copyright © 2021 HOCTAPSGK