Trang chủ Toán Học Lớp 7 Làm theo kiểu lớp 7 nha câu hỏi 1214353 -...

Làm theo kiểu lớp 7 nha câu hỏi 1214353 - hoctapsgk.com

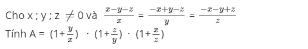
Câu hỏi :

Làm theo kiểu lớp 7 nha

image

Lời giải 1 :

Đáp án:

 

Giải thích các bước giải:

 Đó nha . Đúng hết á

image

Thảo luận

-- Đúng hết luôn
-- Cậu này trả lời trước nên cho câu trả lời hay nhất

Lời giải 2 :

Đáp án:c

 

Giải thích các bước giải:

 Trước tiên Áp dụng tính chất dãy tỉ số bằng nhau cho cả ba tỉ số ( Cộng 3 tử số và 3 mẫu số)  ta được : 

$\frac{(x-y-z)+(-x+y-z) +(-x-y+z) }{x+y+z}$

= $\frac{x-x-x-y+y-y-z-z+z}{x+y+z}$ =$\frac{-x-y-z}{x+y+z}$

=$\frac{-(x+y+z) }{x+y+z}$=-1 (1).

Tiếp theo ta áp dụng tính chất dãy tỉ số bằng nhau cho cặp hai tỉ số thứ nhất và thứ hai (tử Cộng tử và mẫu Cộng mẫu cho hai tỉ số)   ta được 

$\frac{(x-y-z) +(-x+y-z) }{x+y}$

=$ \frac{-2z}{x+y}$ (2). 

Từ ( 1) và (2) suy ra : 

$\frac{-2z}{x+y}$ = -1 => x+y= 2z (3)

Làm tương tự như trên ta được : 

y+z=2x (4) và x+z=2y (5) . 

Ta có A=$\frac{x+y}{x}. \frac{y+z}{y} .\frac{x+z}{z}$

Thay các kết quả (3), (4),(5) vào A ta được :

A =$\frac{2z.2x.2y}{x.y. z}$ =8 .

Bạn có biết?

Toán học là môn khoa học nghiên cứu về các số, cấu trúc, không gian và các phép biến đổi. Nói một cách khác, người ta cho rằng đó là môn học về "hình và số". Theo quan điểm chính thống neonics, nó là môn học nghiên cứu về các cấu trúc trừu tượng định nghĩa từ các tiên đề, bằng cách sử dụng luận lý học (lôgic) và ký hiệu toán học. Các quan điểm khác của nó được miêu tả trong triết học toán. Do khả năng ứng dụng rộng rãi trong nhiều khoa học, toán học được mệnh danh là "ngôn ngữ của vũ trụ".

Nguồn : Wikipedia - Bách khoa toàn thư

Tâm sự 7

Lớp 7 - Năm thứ hai ở cấp trung học cơ sở, một cuồng quay mới lại đến vẫn bước tiếp trên đường đời học sinh. Học tập vẫn là nhiệm vụ chính!

Nguồn : ADMIN :))

Liên hệ hợp tác hoặc quảng cáo: gmail

Điều khoản dịch vụ

Copyright © 2021 HOCTAPSGK