Trang chủ Toán Học Lớp 6 Câu 11 (1,5đ):Thực hiện phép tính -3 + 8 7...

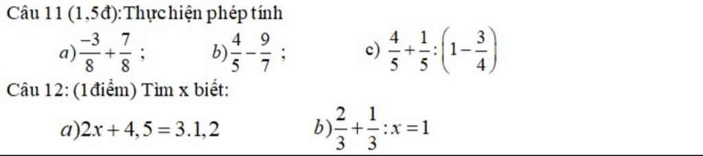
Câu 11 (1,5đ):Thực hiện phép tính -3 + 8 7 4 9 a) c) +-: b)5 Câu 12: (1điểm) Tìm x biết: 7 1 b)=+-:x =1 3 3 a)2x + 4,5 = 3.1,2

Câu hỏi :

giúp e với ạ plsssssssssssssssssss

image

Lời giải 1 :

Đáp án+Giải thích các bước giải:

Câu 11:

a) $\frac{-3}{8}$ + $\frac{7}{8}$ = $\frac{4}{8}$ 

b) $\frac{4}{5}$ - $\frac{9}{7}$ = $\frac{28}{35}$ - $\frac{45}{35}$ = $\frac{-17}{35}$ 

c) $\frac{4}{5}$ + $\frac{1}{5}$ : (1 - $\frac{3}{4}$)

= $\frac{4}{5}$ + $\frac{1}{5}$ : $\frac{1}{4}$ 

= $\frac{4}{5}$ +  $\frac{4}{5}$ 

= $\frac{8}{5}$ 

Câu 12:

a) 2x + 4,5 = 3.1,2

    2x + 4,5 = 3,6

    2x = 3,6 - 4,5

    2x = -0,9

      x = -0,9 : 2

      x = -0,45

Vậy: x = -0,45

b) $\frac{2}{3}$ + $\frac{1}{3}$ : x = 1

$\frac{1}{3}$ : x = 1 - $\frac{2}{3}$

$\frac{1}{3}$ : x = $\frac{1}{3}$ 

x = $\frac{1}{3}$ : $\frac{1}{3}$ 

x = 1

Vậy: x = 1

#dechuong2k10

Chúc ziin học tốt!      

Thảo luận

-- tui ổn mà ^^
-- c.ơn bn đã qut nha :3
-- ukm, mong là v sao cứ nhìn thấy mấy icon và /.../ là cứ nghi nghi thế nào nhỉ
-- 83**** thánh hóng đã qtrl đây/ai v/ (hỏi zui hok thíck thì khum cần trl!)
-- um,bí mật á:)
-- :)xí, bíc ngay màk để tui đik tra gg dịch bíc ngay...ak há!
-- biết rồi mak hok bíc đấy là ai hoi chứ dòng chữ thì hiểu rồi(Vừa nhìn là bt tiếng hàn:vv)
-- thông mình ghia ha :)))

Bạn có biết?

Toán học là môn khoa học nghiên cứu về các số, cấu trúc, không gian và các phép biến đổi. Nói một cách khác, người ta cho rằng đó là môn học về "hình và số". Theo quan điểm chính thống neonics, nó là môn học nghiên cứu về các cấu trúc trừu tượng định nghĩa từ các tiên đề, bằng cách sử dụng luận lý học (lôgic) và ký hiệu toán học. Các quan điểm khác của nó được miêu tả trong triết học toán. Do khả năng ứng dụng rộng rãi trong nhiều khoa học, toán học được mệnh danh là "ngôn ngữ của vũ trụ".

Nguồn : Wikipedia - Bách khoa toàn thư

Tâm sự 6

Lớp 6 - Là năm đầu tiên của cấp trung học cơ sở. Được sống lại những khỉ niệm như ngày nào còn lần đầu đến lớp 1, được quen bạn mới, ngôi trường mới, một tương lai mới!

Nguồn : ADMIN :))

Liên hệ hợp tác hoặc quảng cáo: gmail

Điều khoản dịch vụ

Copyright © 2021 HOCTAPSGK