Trang chủ Hóa Học Lớp 8 1. Cho 6,5g Zn vào dung dịch axit clohiđric HCl.Thể...

1. Cho 6,5g Zn vào dung dịch axit clohiđric HCl.Thể tích khí H2(đktc) thu được là: A. 2,24 (lít). B. 3,36 (lít). C. 4,48 (lít). D. 6,72 (lít). 2. Phản ứng nào

Câu hỏi :

1. Cho 6,5g Zn vào dung dịch axit clohiđric HCl.Thể tích khí H2(đktc) thu được là: A. 2,24 (lít). B. 3,36 (lít). C. 4,48 (lít). D. 6,72 (lít). 2. Phản ứng nào là phản ứng thế trong các phản ứng sau:(trong ảnh) 3. Đốt cháy 5,4 gam nhôm(Al) trong bình đựng khí oxi. Thể tích của khí oxi (ở đktc) đã tham gia phản ứng là: A. 2,24 (lít). B. 3,36 (lít). C. 4,48 (lít). D. 6,72 (lít). 4. Thể tích khí hiđro thoát ra(ở đktc) khi cho 16,25 gam kẽm(Zn) tác dụng với axit clohidric(HCl) là: A. 4,8(lít) B. 11,2(l) C. 5,6(l) D. 2,24(l)

image

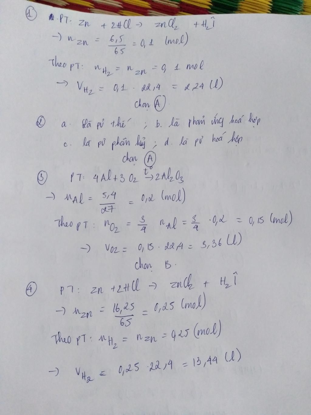
Lời giải 1 :

Đáp án:

1. A

   nZn = 6,5 ÷ 65 = 0,1 mol

 PTHH: Zn + 2HCl ⇒ ZnCl2 + H2

Theo pt: nH2 = nZn = 0,1 mol

      ⇒V H2 (đktc) = 0,1 × 22,4 = 2,24 (lít

2. A

B, D là phản ứng hóa hợp

C là phản ứng phân hủy

3. B

   nAl = 5,4 ÷ 27 = 0,2 mol

PTHH: 4Al + 3O2 ⇒(kèm đk t0)  2Al2O3

Theo pthh: nO2 = 3/4 nAl = 3/4 × 0,2 = 0,15 mol

    ⇒V O2 (đktc) = 0,15 × 22,4 = 3,36 (lít)

4. C

nZn = 16,25 ÷ 65 =  0,25 mol

PTHH: Zn + 2HCl ⇒ ZnCl2 + H2

Theo pthh: nH2 = nZn = 0,25 mol

  ⇒V H2 (đktc) = 0,25 × 22,4 = 5,6 (lít)

Chúc em học tốt! Good luck <3! 

 

Thảo luận

Lời giải 2 :

Đáp án:

 

Giải thích các bước giải:

 

image

Bạn có biết?

Hóa học, một nhánh của khoa học tự nhiên, là ngành nghiên cứu về thành phần, cấu trúc, tính chất, và sự thay đổi của vật chất.Hóa học nói về các nguyên tố, hợp chất, nguyên tử, phân tử, và các phản ứng hóa học xảy ra giữa những thành phần đó.Hóa học đôi khi được gọi là "khoa học trung tâm" vì nó là cầu nối các ngành khoa học tự nhiên khác như vật lý học, địa chất học và sinh học.

Nguồn : Wikipedia - Bách khoa toàn thư

Tâm sự 8

Lớp 8 - Năm thứ ba ở cấp trung học cơ sở, học tập bắt đầu nặng dần, sang năm lại là năm cuối cấp áp lực lớn dần nhưng các em vẫn phải chú ý sức khỏe nhé!

Nguồn : ADMIN :))

Liên hệ hợp tác hoặc quảng cáo: gmail

Điều khoản dịch vụ

Copyright © 2021 HOCTAPSGK