Trang chủ Toán Học Lớp 8 đề bài là rút gọn biểu thức( áp dụng hằng...

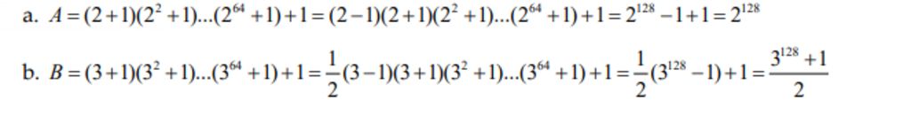
đề bài là rút gọn biểu thức( áp dụng hằng đẳng thức) mọi người trình bày lại giúp em với! đáp án làm tắt quá ạa. A= (2+1)(2 +1)...(2“ +1)+1=(2-1)(2+1)(2² +1)..

Câu hỏi :

đề bài là rút gọn biểu thức( áp dụng hằng đẳng thức) mọi người trình bày lại giúp em với! đáp án làm tắt quá ạ

image

Lời giải 1 :

Đáp án:

 

Giải thích các bước giải:

Chi tiết trong hình ;-; 

image

Thảo luận

-- Off đây mai ns sau .-.
-- mà kinh thik diệu r ctay xương mà diệu lại thik mod khôi mà mod khôi lại ko thik diệu r cuối cùng kinh làm xương buồn? thật là vãi chưởng các bạn ạ!
-- Lên mạng xem có ko
-- mà kinh thik diệu r ctay xương mà diệu lại thik mod khôi mà mod khôi lại ko thik diệu r cuối cùng kinh làm xương buồn? thật là vãi chưởng các bạn ạ! => V:
-- ừa! chị cũng off đây ~ pk quyết tâm vào đảng sớm nhất khối ms đc!
-- Chị :Vv
-- 2k mấy mà đòi là chị
-- vg thưa bạn mềnh 2k10 ạ! có vấn đề gì ko?

Lời giải 2 :

Đáp án:

a, Ta có : 

`A = (2 + 1)(2^2 + 1)....(2^{64} + 1)+ 1`

`=> (2 - 1).A = (2 - 1)(2 + 1)(2^2 + 1)....(2^{64} + 1) + 1`

`=> A = (2^2 - 1)(2^2 + 1)....(2^{64} + 1) + 1`

`=> A = (2^4 - 1)...(2^{64} + 1) + 1`

`=> A = (2^{64} - 1)(2^{64} + 1) + 1`

`=> A = 2^{128} - 1 + 1`

`=> A = 2^{128}`

b, Ta có : 

Đặt `C = (3 + 1)(3^2 + 1)....(3^{64} + 1)`

`=> (3 - 1)C = (3 - 1)(3 + 1)(3^2 + 1)...(3^{64} + 1)`

`=> 2C = (3^2 - 1)(3^2 + 1)....(3^{64} + 1)`

`=> 2C = (3^4 - 1)...(3^{64} + 1)`

`=> 2C = (3^{64} - 1)(3^{64} + 1)`

`=> 2C = 3^{128} - 1`

`=> C = (3^{128} - 1)/2`

`=> B  = C + 1 = (3^{128} - 1)/2 + 1 = (3^{128} + 1)/2`

Giải thích các bước giải:

 

Bạn có biết?

Toán học là môn khoa học nghiên cứu về các số, cấu trúc, không gian và các phép biến đổi. Nói một cách khác, người ta cho rằng đó là môn học về "hình và số". Theo quan điểm chính thống neonics, nó là môn học nghiên cứu về các cấu trúc trừu tượng định nghĩa từ các tiên đề, bằng cách sử dụng luận lý học (lôgic) và ký hiệu toán học. Các quan điểm khác của nó được miêu tả trong triết học toán. Do khả năng ứng dụng rộng rãi trong nhiều khoa học, toán học được mệnh danh là "ngôn ngữ của vũ trụ".

Nguồn : Wikipedia - Bách khoa toàn thư

Tâm sự 8

Lớp 8 - Năm thứ ba ở cấp trung học cơ sở, học tập bắt đầu nặng dần, sang năm lại là năm cuối cấp áp lực lớn dần nhưng các em vẫn phải chú ý sức khỏe nhé!

Nguồn : ADMIN :))

Liên hệ hợp tác hoặc quảng cáo: gmail

Điều khoản dịch vụ

Copyright © 2021 HOCTAPSGK