Trang chủ Vật Lý Lớp 8 Lúc 7h, hai ôtô cùng khởi hành từ hai địa...

Lúc 7h, hai ôtô cùng khởi hành từ hai địa điểm A và B cách nhau 140km và đi ngược chiều nhau. Vận tốc của xe đi từ A là 38km/h, của xe đi từ B là 30km/h. a) T

Câu hỏi :

Lúc 7h, hai ôtô cùng khởi hành từ hai địa điểm A và B cách nhau 140km và đi ngược chiều nhau. Vận tốc của xe đi từ A là 38km/h, của xe đi từ B là 30km/h. a) Tìm khoảng cách giữa hai xe lúc 9h. b) Xác định thời điểm và vị trí hai xe gặp nhau.

Lời giải 1 :

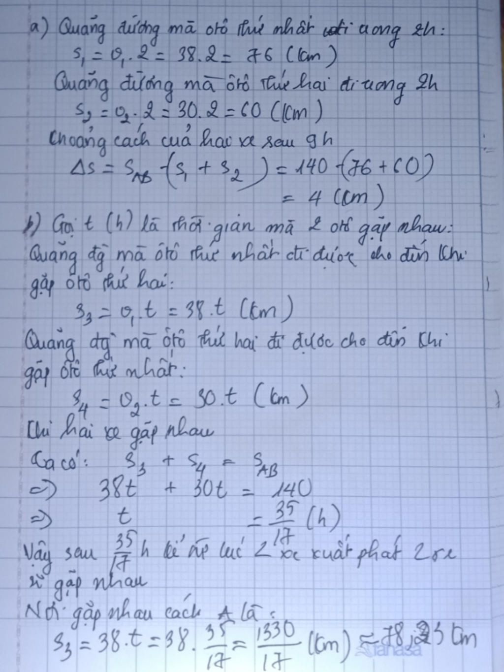
.

image

Thảo luận

Lời giải 2 :

Chọn gốc toạ độ tại A. 

Khoảng cách từ xe 1 đến A sau t: $x_1=38t$

Khoảng cách từ xe 2 đến A sau t: $x_2=140-30t$

a. Khoảng cách hai xe lúc 9h:

$d=|x_1-x_2|=|38.2-140+30.2|=4km$

b. Thời điểm gặp nhau:

$x_1=x_2 \Leftrightarrow 38t=140-30t \Rightarrow t=\frac{35}{17}h=2h4p$

$7h+2h4p=9h4p$

Vị trí gặp: $x_1=38t=38.\frac{35}{17}≈78,23km$

Vậy vào lúc 9h4p hai xe sẽ gặp nhau, và gặp tại vị trí cách gốc toạ độ A 78,23km

Bạn có biết?

Vật lý học (tiếng Anh:physics, từ tiếng Hi Lạp cổ: φύσις có nghĩa là kiến thức về tự nhiên) là một môn khoa học tự nhiên tập trung vào sự nghiên cứu vật chất và chuyển động của nó trong không gian và thời gian, cùng với những khái niệm liên quan như năng lượng và lực.Vật lí học là một trong những bộ môn khoa học lâu đời nhất, với mục đích tìm hiểu sự vận động của vũ trụ.

Nguồn : Wikipedia - Bách khoa toàn thư

Tâm sự 8

Lớp 8 - Năm thứ ba ở cấp trung học cơ sở, học tập bắt đầu nặng dần, sang năm lại là năm cuối cấp áp lực lớn dần nhưng các em vẫn phải chú ý sức khỏe nhé!

Nguồn : ADMIN :))

Liên hệ hợp tác hoặc quảng cáo: gmail

Điều khoản dịch vụ

Copyright © 2021 HOCTAPSGK