Trang chủ Toán Học Lớp 8 cua thie B- Paãi tập: Bar 1: Feim diêu bûn...

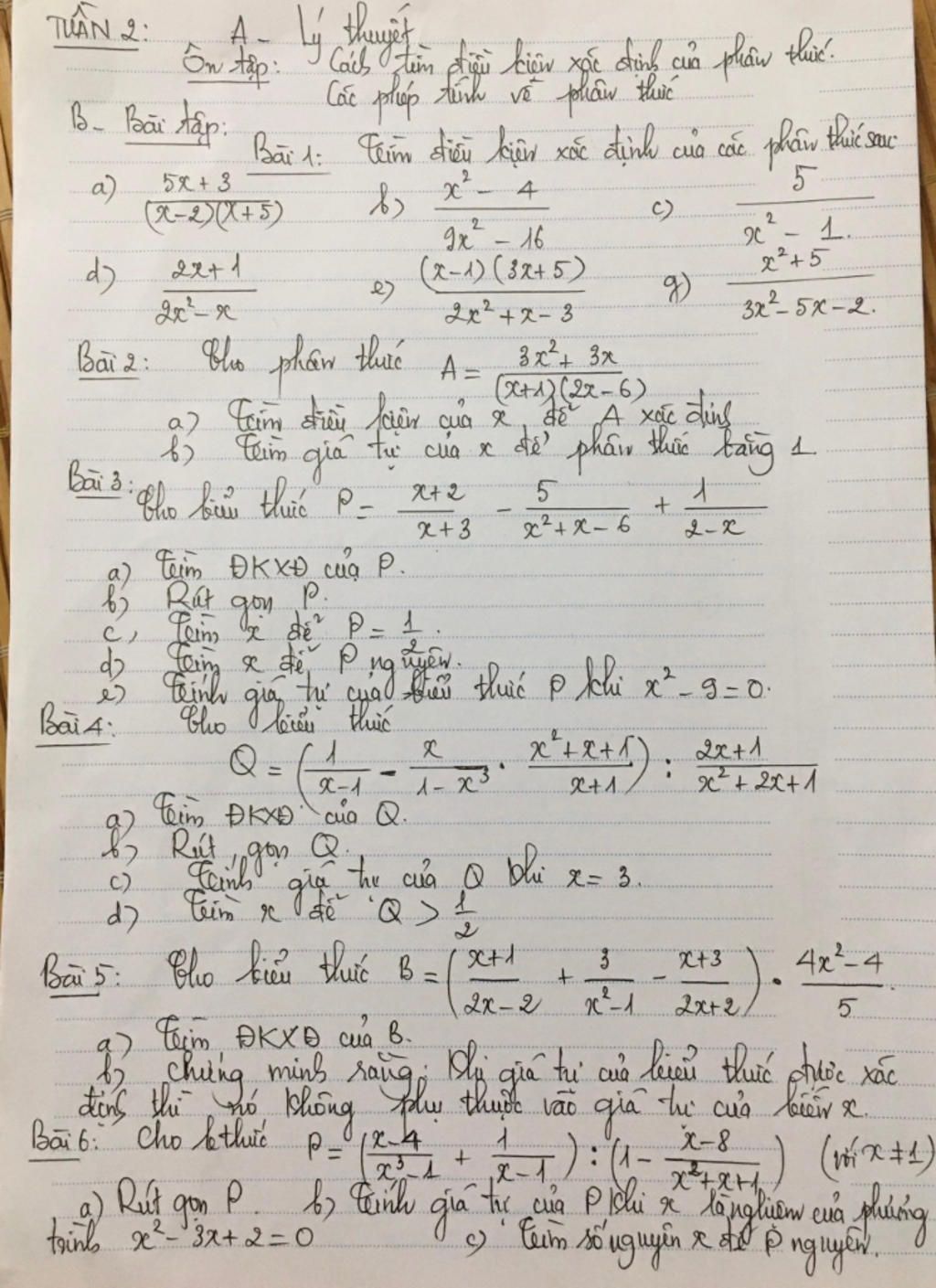
cua thie B- Paãi tập: Bar 1: Feim diêu bûn xốc đình của các phẩm thi sac 5. 2. 5x+3 a) R-2)U+5) 4 C) 2. 1. 2. Ix - 16. (2-4) (32+ 5) 2ス十 2x²+x-3 3225x-2. B

Câu hỏi :

giúp mik với làm hết nhá

image

Lời giải 1 :

bài 1:

a. (x-2)(x+5) khác 0 hay x khác 2 hoặc x khác -5

b. 9x^2 -16 khác 0 hay x khác 4/3 và x khác -4/3 

c.x^2 -1 khác 0 hay (x-1)(x+1)khác 0 hay  x khác 1 và x khác -1

d. 2x^2 -x khác 0 hay x(x-1/2) khác 0 hay  x khác 1/2 và x khác 0

e.2x^2 + x-3 khác 0 hay (x-1)(x+3/2) khác 0 hay x khác 1 và x khác -3/2

g. 3x^2 -5x+2 khác 0 hay (x-1)(x-2/3) khác 0 hay x khác 1 và x khác 2/3

bài 2:  

a. điều kiện của x để A xác định là: (x+1)(2x-6) khác o tức x khác -1 và x khác 3

b. ta rút gọn biểu thức A thành:

[3x(x+1)]  /  [(x+1)(2x-6)] = 3x  /  (2x-6) 

mà A=1=> 3x  /  (2x-6) =1

hay 3x = 2x-6 hay x=-6 

vậy x=-6 thì biểu thức A =1

bài 3:

a. điều kiện xác định của B là x+3 khác 0 hay x khác -3

          và 2-x khác 0 hay x khác 2

          và x^2 +x -6  hay (x-2) (x+3) khác 0 hay x khác 2 và x khác -3

e. x^2 -9 =0 hay (x-3)(x+3) =0 hay x= 3 hoặc x= -3

thay x=3 vào P ta được giá trị là: P =-1

thay x=-3 vào P  thì P không tồn tại (tức điều kiện để P có nghĩa là x phải khác 3)

bài 4:

a.x khác -1 và x khác 1

c. thay x =3 thì Q có giá trị là: Q=2

bài 5:

a. điều kiện là x khác 1 và x khác -1

bài 6:

b. phương trình x^2 -3x+2 =0 <=> (x-1) (x-2) =0 hay x =1 hoặc x=2

thay x= 1 vào P thì P không tồn tại do x^3-1 khác 0 suy ra x khác 1

          và (x-1) khác 0 suy ra x cũng phải khác 1

thay x=2 vào P ta được: P= 5/13

NOCOPPY 

Thảo luận

-- chủ post giỏi v: toàn làm đề khó^^
-- hello , co ai o do khong , anhharry
-- oke ông, từ hôm nọ đến hnay tui bị trôi thông báo nên ko thấy ông
-- ok
-- ông gọi tui có chiện gì thế??^.^
-- may ban khac chua toi

Lời giải 2 :

Bài 1 :

`a,`\(\left[ \begin{array}{l}(x-2)(x+5)\ne 0\\x \ne 2 ; x \ne -5\end{array} \right.\)

`b,` \(\left[ \begin{array}{l}9x^2 -16 \ne 0\\x \ne \dfrac{4}{3};x \ne \dfrac{-4}{3}\end{array} \right.\)

`c,`\(\left[ \begin{array}{l}x^2 -1 \ne 0\\(x-1)(x+1) \ne 0\\x\ne 1;x\ne -1\end{array} \right.\)

`d,`\(\left[ \begin{array}{l}2x^2 -x \ne 0\\x(x-\dfrac{1}{2}) \ne 0\\x \ne \dfrac{1}{2};x \ne 0\end{array} \right.\)

`e,`\(\left[ \begin{array}{l}2x^2 + x-3 \ne 0\\(x-1)(x+\dfrac{3}{2}) \ne 0\\x \ne 1 ;x \ne\dfrac{-3}{2}\end{array} \right.\)

`g,`\(\left[ \begin{array}{l}3x^2 -5x+2 \ne 0\\(x-1)(x-2/3) \ne 0\\x \ \ne 1;x \ne \dfrac{2}{3}\end{array} \right.\) 

Xin hay nhất !

Bạn có biết?

Toán học là môn khoa học nghiên cứu về các số, cấu trúc, không gian và các phép biến đổi. Nói một cách khác, người ta cho rằng đó là môn học về "hình và số". Theo quan điểm chính thống neonics, nó là môn học nghiên cứu về các cấu trúc trừu tượng định nghĩa từ các tiên đề, bằng cách sử dụng luận lý học (lôgic) và ký hiệu toán học. Các quan điểm khác của nó được miêu tả trong triết học toán. Do khả năng ứng dụng rộng rãi trong nhiều khoa học, toán học được mệnh danh là "ngôn ngữ của vũ trụ".

Nguồn : Wikipedia - Bách khoa toàn thư

Tâm sự 8

Lớp 8 - Năm thứ ba ở cấp trung học cơ sở, học tập bắt đầu nặng dần, sang năm lại là năm cuối cấp áp lực lớn dần nhưng các em vẫn phải chú ý sức khỏe nhé!

Nguồn : ADMIN :))

Liên hệ hợp tác hoặc quảng cáo: gmail

Điều khoản dịch vụ

Copyright © 2021 HOCTAPSGK