Trang chủ Toán Học Lớp 6 Tính hợp lí : câu hỏi 3974009 - hoctapsgk.com

Tính hợp lí : câu hỏi 3974009 - hoctapsgk.com

Câu hỏi :

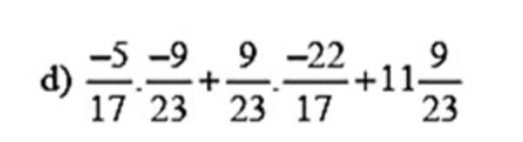
Tính hợp lí :

image

Lời giải 1 :

`d) (-5)/17. (-9)/23+9/23.(-22)/17+11 9/13`

`= 5/17. 9/23+9/23.(-22)/17+11 9/13`

`= 9/23 . (5/17+(-22)/17)+11 9/23`

`= 9/23 . (-17)/17 + 11 9/23`

`= 9/23 . (-1) + 11 9/23`

`= (-9)/13 + 11 9/23`

`= 11`

Thảo luận

-- 11
-- `= 5/17. 9/23+9/23.(-22)/17+11 9/13` => Bước này `9/23.(-22)/17` dấu `-` của 22 có thể chuyển sang số `9` bạn nhé vì phép nhân dù đổi dấu cho nhau kết quả cũng không thay đổi

Lời giải 2 :

`d) -5/17 .  -9/23 + 9/23 .  -22/12 + 11 9/23`

`= -5/17  . -9/23 +  -9/23 . 22/17 + 262/23`

`= -9/23 . (-5/17 + 22/12) + 262/23`

`= -9/23 . 1 + 262/23`

`=-9/23 + 262/23 = 11`

`@Ngok`

Bạn có biết?

Toán học là môn khoa học nghiên cứu về các số, cấu trúc, không gian và các phép biến đổi. Nói một cách khác, người ta cho rằng đó là môn học về "hình và số". Theo quan điểm chính thống neonics, nó là môn học nghiên cứu về các cấu trúc trừu tượng định nghĩa từ các tiên đề, bằng cách sử dụng luận lý học (lôgic) và ký hiệu toán học. Các quan điểm khác của nó được miêu tả trong triết học toán. Do khả năng ứng dụng rộng rãi trong nhiều khoa học, toán học được mệnh danh là "ngôn ngữ của vũ trụ".

Nguồn : Wikipedia - Bách khoa toàn thư

Tâm sự 6

Lớp 6 - Là năm đầu tiên của cấp trung học cơ sở. Được sống lại những khỉ niệm như ngày nào còn lần đầu đến lớp 1, được quen bạn mới, ngôi trường mới, một tương lai mới!

Nguồn : ADMIN :))

Liên hệ hợp tác hoặc quảng cáo: gmail

Điều khoản dịch vụ

Copyright © 2021 HOCTAPSGK