Trang chủ Toán Học Lớp 9 a) Biết tỉ số hai cạnh góc vuông của một...

a) Biết tỉ số hai cạnh góc vuông của một tam giác vuông là 1:2 và cạnh huyền bằng 20 (cm). Tính độ dài hình chiếu của mỗi cạnh góc vuông lên cạnh huyền b) Biết

Câu hỏi :

a) Biết tỉ số hai cạnh góc vuông của một tam giác vuông là 1:2 và cạnh huyền bằng 20 (cm). Tính độ dài hình chiếu của mỗi cạnh góc vuông lên cạnh huyền b) Biết tỉ số hai cạnh góc vuông của một tam giác vuông là 3 :7 và đường cao ứng với cạnh huyền bằng 42 (cm). Tính độ dài hình chiếu của mỗi cạnh góc vuông lên cạnh huyền

Lời giải 1 :

Đáp án:

a, 4cm và 16cm

b, 18cm, 98cm

Lời giải:

a) Tam giác vuông có hai cạnh góc vuông tỉ lệ 1:2, cạnh huyền bằng 20 như hình vẽ.

Theo Pi-ta-go ta có:

$a^2+(2a)^2=20^2$

$\Leftrightarrow 5a^2=400$

$\Leftrightarrow a^2=80$

$\Leftrightarrow a=4\sqrt5$cm

Hình chiếu của cạnh góc vuông AB lên cạnh huyền BC là đoạn HB (vì A chiếu vuông góc lên cạnh huyền BC là H, B chiếu lên BC là B)

Áp dụng hệ thức lượng vào $\Delta ABC\bot A$ đường cao $AH\bot BC$ ta có:

$AB^2=BH.BC$

$\Rightarrow BH=\dfrac{AB^2}{BC}=\dfrac{a^2}{20}=\dfrac{80}{20}=4$cm

$\Rightarrow CH=20-4=16$cm

Vậy hình chiếu vuông góc của mỗi cạnh góc vuông lên cạnh huyền là 4cm và 16cm.
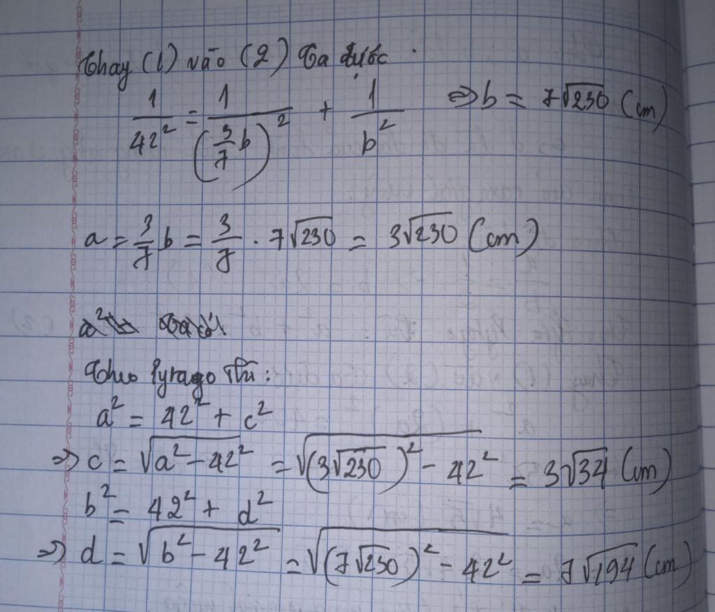
b) Đường cao ứng với cạnh huyền là AH=42cm như hình vẽ

Áp dụng hệ thức lượng vào $\Delta ABC\bot A, AH\bot BC$ ta có:

$\dfrac1{AH^2}=\dfrac1{AB^2}+\dfrac1{AC^2}$

$\Rightarrow\dfrac1{42^2}=\dfrac1{(3a)^2}+\dfrac1{(7a)^2}$

$\Rightarrow a^2=232\Rightarrow AB^2=(3a)^2=9a^2=2088$

$\Rightarrow AB=3a=6\sqrt{58}$

$BH^2=AB^2-AH^2=2088-42^2=324$

$\Rightarrow BH=18$cm

Theo công thức tính diên tích

$AH.BC=AB.AC\Rightarrow BC=\dfrac{AB.AC}{AH}=\dfrac{21a^2}{42}=116$

$\Rightarrow CH=98$

image
image

Thảo luận

Lời giải 2 :

..

image
image

Bạn có biết?

Toán học là môn khoa học nghiên cứu về các số, cấu trúc, không gian và các phép biến đổi. Nói một cách khác, người ta cho rằng đó là môn học về "hình và số". Theo quan điểm chính thống neonics, nó là môn học nghiên cứu về các cấu trúc trừu tượng định nghĩa từ các tiên đề, bằng cách sử dụng luận lý học (lôgic) và ký hiệu toán học. Các quan điểm khác của nó được miêu tả trong triết học toán. Do khả năng ứng dụng rộng rãi trong nhiều khoa học, toán học được mệnh danh là "ngôn ngữ của vũ trụ".

Nguồn : Wikipedia - Bách khoa toàn thư

Tâm sự 9

Lớp 9 - Là năm cuối ở cấp trung học cơ sở, sắp phải bước vào một kì thi căng thẳng và sắp chia tay bạn bè, thầy cô và cả kì vọng của phụ huynh ngày càng lớn mang tên "Lên cấp 3". Thật là áp lực nhưng các em hãy cứ tự tin vào bản thân là sẻ vượt qua nhé!

Nguồn : ADMIN :))

Liên hệ hợp tác hoặc quảng cáo: gmail

Điều khoản dịch vụ

Copyright © 2021 HOCTAPSGK