Trang chủ Vật Lý Lớp 10 sau 1 giờ 30 phút nguời đó đến B. Bài...

sau 1 giờ 30 phút nguời đó đến B. Bài 4: Một ôtô đi trên quãng đường AB với tốc độ 54 km/h. Nếu tăng tốc độ thêm 6 km/h thì ôtô đến B sớm hơn dự định 30 ph

Câu hỏi :

Giải giảng hộ mình bài 5 . Cảm ơn😊

image

Lời giải 1 :

Bạn tham khảo bài.

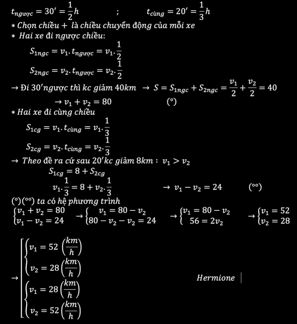
image

Thảo luận

Lời giải 2 :

Đáp án:

 $v_1 = 52km/h$; 

$v_2 = 28km/h$

Giải thích các bước giải:

 Gọi tốc độ mỗi xe lần lượt là $v_1$ và $v_2$ ($v_1 > v_2$) 

Khi đi ngược chiều thì sau $30' = \dfrac{1}{2}h$ khoảng cách giảm 40km nên ta có: 

      $\dfrac{1}{2}v_1 + \dfrac{1}{2}v_2 = 40$ 

$<=> v_1 + v_2 = 80$ (1) 

Khi chúng chuyển động cùng chiều thì sau $20' = \dfrac{1}{3}h$ khoảng cách của chúng giảm 8km nên ta có: 

      $\dfrac{1}{3}v_1 - \dfrac{1}{3}v_2 = 8$ 

$<=> v_1 - v_2 = 24$ (2) 

Giải hệ phương trình (1) và (2) được 

$v_1 = 52$;   $v_2 = 28$
Vậy tốc độ của hai xe lần lượt là $v_1 = 52km/h$ và $v_2 = 28km/h$ 

Bạn có biết?

Vật lý học (tiếng Anh:physics, từ tiếng Hi Lạp cổ: φύσις có nghĩa là kiến thức về tự nhiên) là một môn khoa học tự nhiên tập trung vào sự nghiên cứu vật chất và chuyển động của nó trong không gian và thời gian, cùng với những khái niệm liên quan như năng lượng và lực.Vật lí học là một trong những bộ môn khoa học lâu đời nhất, với mục đích tìm hiểu sự vận động của vũ trụ.

Nguồn : Wikipedia - Bách khoa toàn thư

Tâm sự 10

Lớp 10 - Năm thứ nhất ở cấp trung học phổ thông, năm đầu tiên nên có nhiều bạn bè mới đến từ những nơi xa hơn vì ngôi trường mới lại mỗi lúc lại xa nhà mình hơn. Được biết bên ngoài kia là một thế giới mới to và nhiều điều thú vị, một trang mới đang chò đợi chúng ta.

Nguồn : ADMIN :))

Liên hệ hợp tác hoặc quảng cáo: gmail

Điều khoản dịch vụ

Copyright © 2021 HOCTAPSGK