Trang chủ Hóa Học Lớp 8 Hỗn hợp X gồm Al,Fe,Zn. Đốt cháy hoàn toàn 14,35g...

Hỗn hợp X gồm Al,Fe,Zn. Đốt cháy hoàn toàn 14,35g X cần dùng 4,48l khí oxi đktc. Nếu cho 0,12 mol X tan hết trong dung dịch axit sunfuric loãng thấy thoát ra 3

Câu hỏi :

Hỗn hợp X gồm Al,Fe,Zn. Đốt cháy hoàn toàn 14,35g X cần dùng 4,48l khí oxi đktc. Nếu cho 0,12 mol X tan hết trong dung dịch axit sunfuric loãng thấy thoát ra 3,136l h2 đktc. Tính khối lượng mỗi kim loại trong 14,35 g X

Lời giải 1 :

Đáp án:

 

Giải thích các bước giải:

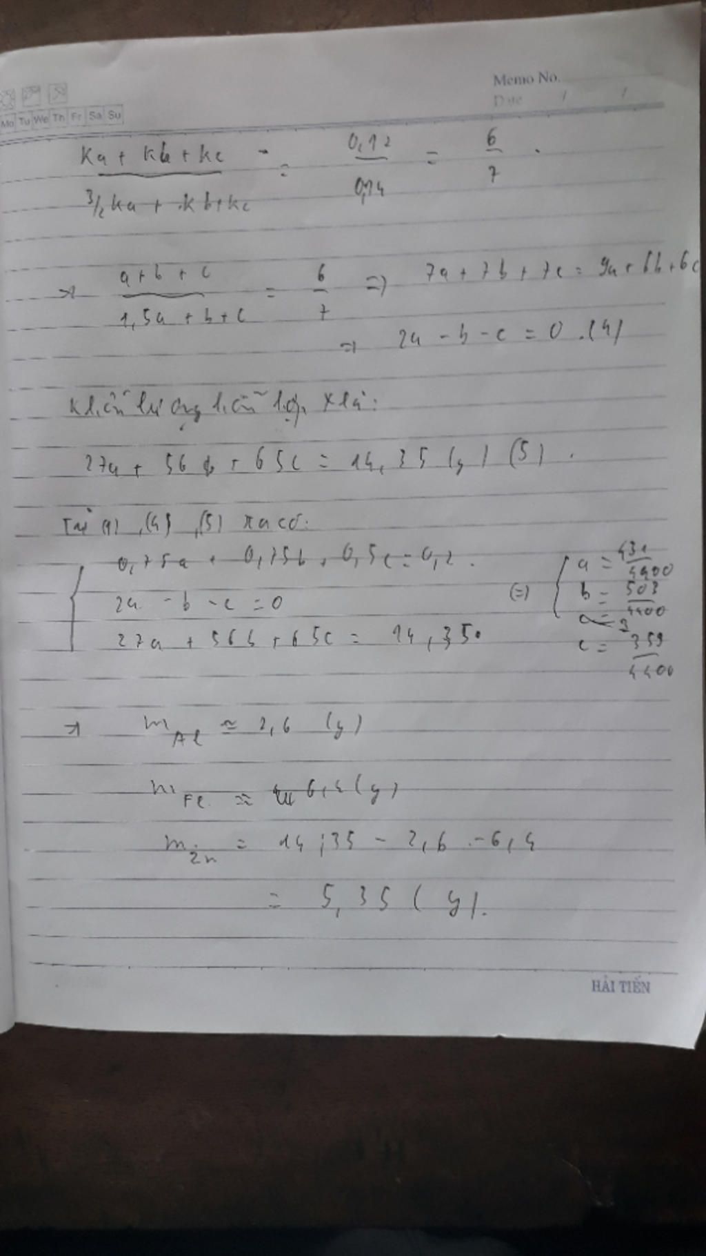
Gọi $n_{Al} = a(mol) ; n_{Fe} = b(mol) ; n_{Zn} = c(mol)$
$⇒ 27a + 56b + 65c = 14,35(1)$

$4Al + 3O_2 \xrightarrow{t^o} 2Al_2O_3$
$3Fe + 2O_2 \xrightarrow{t^o} Fe_3O_4$

$2Zn + O_2 \xrightarrow{t^o} 2ZnO$
Theo phương trình , ta có :

$n_{O_2} = \frac{3}{4}n_{Al} + \frac{2}{3}n_{Fe} + \frac{1}{2}n_{Zn}$

$⇒ 0,75a + \frac{2}{3}b + 0,5c = \frac{4,48}{22,4} = 0,2(2)$

$2Al + 3H_2SO_4→ 2Al_2(SO_4)_3 + 3H_2$
$Fe + H_2SO_4 → FeSO_4 + H_2$

$Zn + H_2SO_4 → ZnSO_4 + H_2$

Ta có : $n_{H_2} = 1,5n_{Al} + n_{Fe} + n_{Zn} = \frac{3,136}{22,4} = 0,14$

$⇒ \frac{1,5a + b + c}{a + b + c} = \frac{0,14}{0,12}(3)$

Từ (1) và (2) (3) suy ra $a = 0,1 ; b = 0,15 ; c = 0,05$

$⇒ m_{Al} = 0,1.27 = 2,7(gam)$
$⇒ m_{Fe} = 0,15.56 = 8,4(gam)$
$⇒ m_{Zn} = 0,05.65 = 3,25(gam)$

 

Thảo luận

-- Phương trình đầu tiên : tỉ lệ nguyên tử Al : phân tử O2 là 3 : 4 Do đó , $n_{O_2} = \dfrac{3}{4}n_{Al}$ Tương tự với phương trình tiếp theo thì được phương trình như thế
-- Woa h e mới biết. E cảm ơn nhiều, nma đoạn cuối là giải hệ hay sao ạ
-- Giải hệ 3 ẩn thì ra
-- À vừa này viết lộn tỉ lệ nguyên tử Al : phân tử O2 là 4: 3 nhé
-- À ok. Kết bạn facebook được k ạ. Tại vì e khá là thích hóa, nên muốn học hỏi thêm
-- Có gì cứ đăng câu hỏi lên thì mọi người giải đáp , chứ gửi link là vi phạm nôi quy hoidap.
-- À vậy em cảm ơn nhiều nhaa
-- Nick em là Tracy Nghi. Mong có thể làm quen với a

Lời giải 2 :

Đáp án:Đây em ,học tốt nhé

 

Giải thích các bước giải:

 

image
image
image

Bạn có biết?

Hóa học, một nhánh của khoa học tự nhiên, là ngành nghiên cứu về thành phần, cấu trúc, tính chất, và sự thay đổi của vật chất.Hóa học nói về các nguyên tố, hợp chất, nguyên tử, phân tử, và các phản ứng hóa học xảy ra giữa những thành phần đó.Hóa học đôi khi được gọi là "khoa học trung tâm" vì nó là cầu nối các ngành khoa học tự nhiên khác như vật lý học, địa chất học và sinh học.

Nguồn : Wikipedia - Bách khoa toàn thư

Tâm sự 8

Lớp 8 - Năm thứ ba ở cấp trung học cơ sở, học tập bắt đầu nặng dần, sang năm lại là năm cuối cấp áp lực lớn dần nhưng các em vẫn phải chú ý sức khỏe nhé!

Nguồn : ADMIN :))

Liên hệ hợp tác hoặc quảng cáo: gmail

Điều khoản dịch vụ

Copyright © 2021 HOCTAPSGK