Trang chủ Toán Học Lớp 7 1A. Cho tam giác ABC có AB <AC. Kẻ AH...

1A. Cho tam giác ABC có AB <AC. Kẻ AH vuông góc với BC tại H. So sánh độ dài HB và HC 1B. Cho tam giác MNP có MN = 3 cm, MP = 4 cm. Kẻ MK vuông góc với NP t

Câu hỏi :

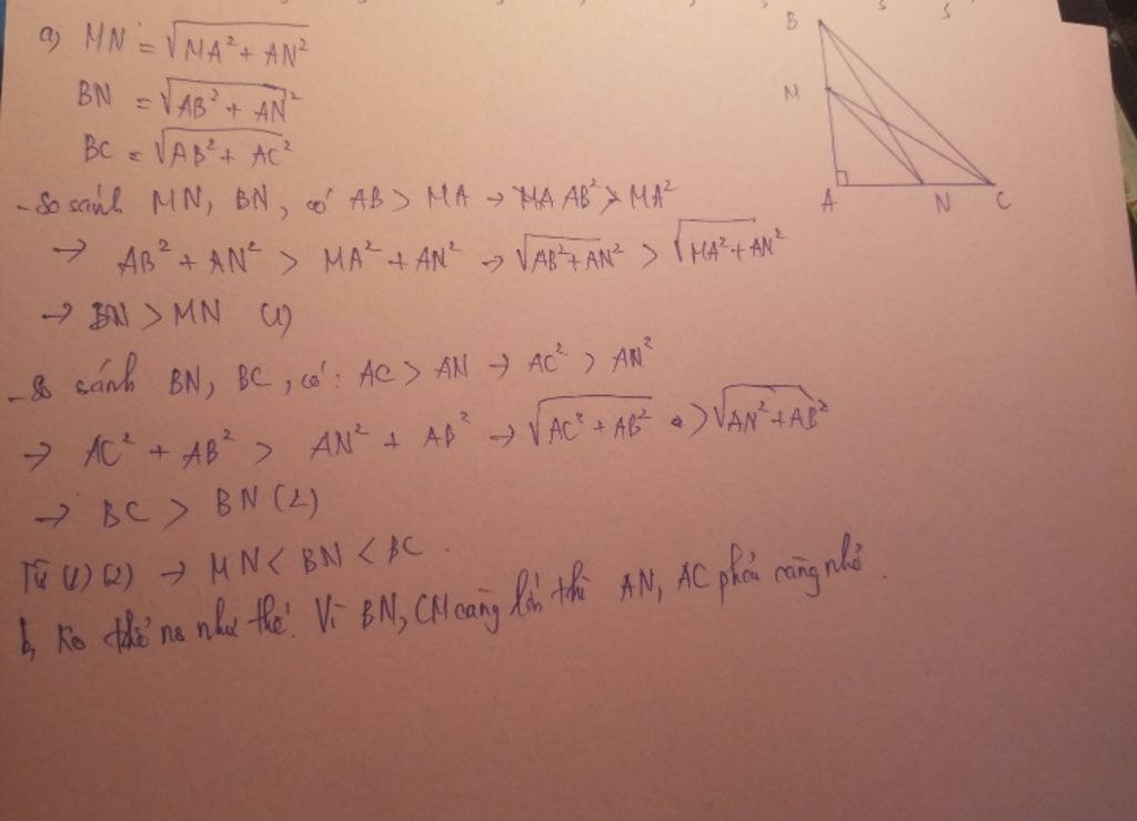
1A. Cho tam giác ABC có AB <AC. Kẻ AH vuông góc với BC tại H. So sánh độ dài HB và HC 1B. Cho tam giác MNP có MN = 3 cm, MP = 4 cm. Kẻ MK vuông góc với NP tại K. So sánh độ dài KN và KP. 2A. Cho tam giác ABC vuông tại A. Trên các cạnh AB, AC lần lượt lấy các điểm M, N. a) Chứng minh MN < BN < BC. b) Có thể nói BN có hình chiếu xuống AC là AN còn CM có hình chiếu xuống AC là AC nên CM > BN được không

Lời giải 1 :

1A. Đường xiên AB < AC nên hình chiến HB < HC.

1B. Đường xiên MN < MP nên hình chiếu KN < KP.

2A. Hình chiếu AM < AB nên đường

xiên MN < BN.

Hình chiếu AN < AC nên đường xiên

BN < BC.

Bởi vậy MN < BN < BC.

b) Không được vì M và B khác nhau.

image

Thảo luận

Lời giải 2 :

gửi bạn🎯

 

image

Bạn có biết?

Toán học là môn khoa học nghiên cứu về các số, cấu trúc, không gian và các phép biến đổi. Nói một cách khác, người ta cho rằng đó là môn học về "hình và số". Theo quan điểm chính thống neonics, nó là môn học nghiên cứu về các cấu trúc trừu tượng định nghĩa từ các tiên đề, bằng cách sử dụng luận lý học (lôgic) và ký hiệu toán học. Các quan điểm khác của nó được miêu tả trong triết học toán. Do khả năng ứng dụng rộng rãi trong nhiều khoa học, toán học được mệnh danh là "ngôn ngữ của vũ trụ".

Nguồn : Wikipedia - Bách khoa toàn thư

Tâm sự 7

Lớp 7 - Năm thứ hai ở cấp trung học cơ sở, một cuồng quay mới lại đến vẫn bước tiếp trên đường đời học sinh. Học tập vẫn là nhiệm vụ chính!

Nguồn : ADMIN :))

Liên hệ hợp tác hoặc quảng cáo: gmail

Điều khoản dịch vụ

Copyright © 2021 HOCTAPSGK