Trang chủ Hóa Học Lớp 8 thổi một luồng khí CO dư đi qua ống sử...

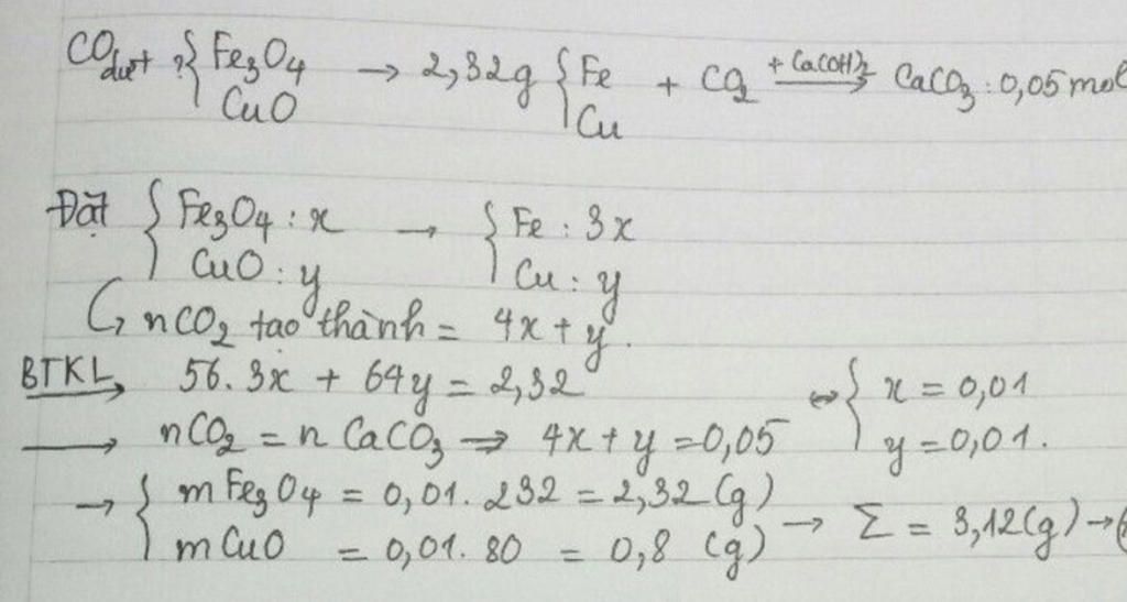
thổi một luồng khí CO dư đi qua ống sử đựng hỗn hợp hai oxit Fe3O4 và CuO nung nóng dến khi phản ứng xảy ra hoàn toàn thu được 2,32gam hỗn hợp kim loại . khí

Câu hỏi :

thổi một luồng khí CO dư đi qua ống sử đựng hỗn hợp hai oxit Fe3O4 và CuO nung nóng dến khi phản ứng xảy ra hoàn toàn thu được 2,32gam hỗn hợp kim loại . khí thoát ra đưa vào bình đựng dung dịch Ca(OH)2 dư thấy có 5 gam kết tủa trắng . tính khối lượng hỗn hợp hai oxit kim loại ban đầu ?

Lời giải 1 :

:))

image

Thảo luận

Bạn có biết?

Hóa học, một nhánh của khoa học tự nhiên, là ngành nghiên cứu về thành phần, cấu trúc, tính chất, và sự thay đổi của vật chất.Hóa học nói về các nguyên tố, hợp chất, nguyên tử, phân tử, và các phản ứng hóa học xảy ra giữa những thành phần đó.Hóa học đôi khi được gọi là "khoa học trung tâm" vì nó là cầu nối các ngành khoa học tự nhiên khác như vật lý học, địa chất học và sinh học.

Nguồn : Wikipedia - Bách khoa toàn thư

Tâm sự 8

Lớp 8 - Năm thứ ba ở cấp trung học cơ sở, học tập bắt đầu nặng dần, sang năm lại là năm cuối cấp áp lực lớn dần nhưng các em vẫn phải chú ý sức khỏe nhé!

Nguồn : ADMIN :))

Liên hệ hợp tác hoặc quảng cáo: gmail

Điều khoản dịch vụ

Copyright © 2021 HOCTAPSGK