Trang chủ Toán Học Lớp 12 Xét chiều biến thiên (tính đơn điệu) các hàm số...

Xét chiều biến thiên (tính đơn điệu) các hàm số sau x +1 g. y = %3| x² +8 x² - 2x + 3 h. y = %3D x - 1 x² + x - 1 i. y =. %3D x+1 x2 - 2x +4 j. y = x2 - 1 3x2

Câu hỏi :

Xét chiều biến thiên (tính đơn điệu) các hàm số sau

image

Lời giải 1 :

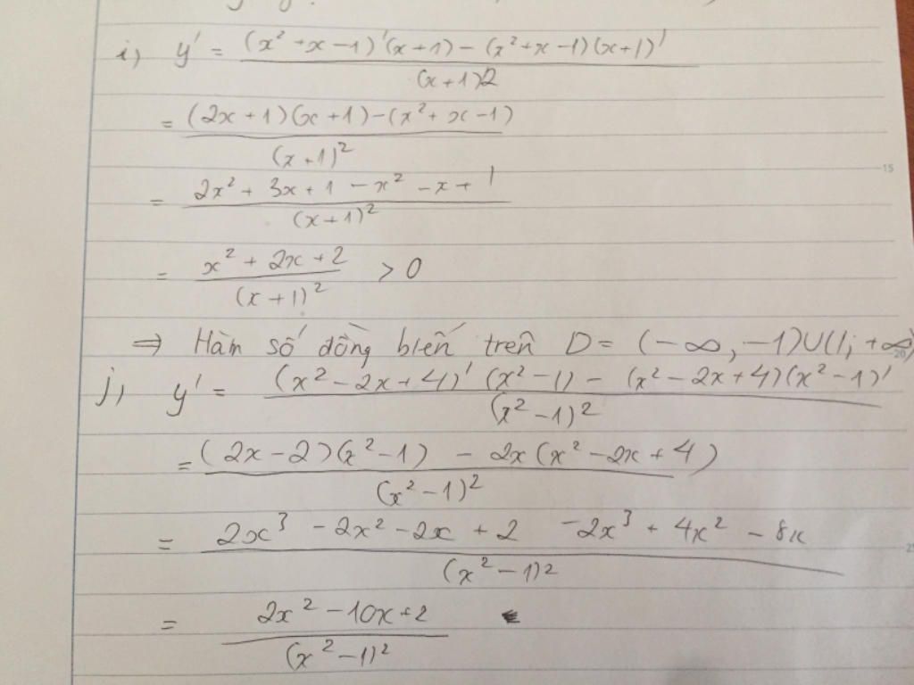
Câu i, j, k.

image
image

Thảo luận

-- anh ơi, anh báo ad giúp em được không ạ https://hoidap247.com/thong-tin-ca-nhan/137606 em ấy toàn trả lời những câu mà chủ câu hỏi là lính mới, và chỉ đặt duy nhất 1 câu hỏi anh giúp em nhé :(( ?
-- https://hoidap247.com/cau-hoi/1536331 Giúp em với ạ
-- thoi anh ơi ko cần báo nha anh em nhờ đc rồi ạ
-- Ừ 🙏
-- https://hoidap247.com/cau-hoi/1536485#cmt_question_1536485 khóa

Lời giải 2 :

 bạn xem thao khảo

image
image

Bạn có biết?

Toán học là môn khoa học nghiên cứu về các số, cấu trúc, không gian và các phép biến đổi. Nói một cách khác, người ta cho rằng đó là môn học về "hình và số". Theo quan điểm chính thống neonics, nó là môn học nghiên cứu về các cấu trúc trừu tượng định nghĩa từ các tiên đề, bằng cách sử dụng luận lý học (lôgic) và ký hiệu toán học. Các quan điểm khác của nó được miêu tả trong triết học toán. Do khả năng ứng dụng rộng rãi trong nhiều khoa học, toán học được mệnh danh là "ngôn ngữ của vũ trụ".

Nguồn : Wikipedia - Bách khoa toàn thư

Tâm sự 12

Lớp 12 - Năm cuối ở cấp tiểu học, năm học quan trọng nhất trong đời học sinh trải qua bao năm học tập, bao nhiêu kì vọng của người thân xung quanh ta. Những nỗi lo về thi đại học và định hướng tương lai thật là nặng. Hãy tin vào bản thân là mình sẽ làm được rồi tương lai mới chờ đợi các em!

Nguồn : ADMIN :))

Liên hệ hợp tác hoặc quảng cáo: gmail

Điều khoản dịch vụ

Copyright © 2021 HOCTAPSGK