Trang chủ Tin Học Lớp 8 Chỉ cần vt công thức toán học thôi ạ ,môn...

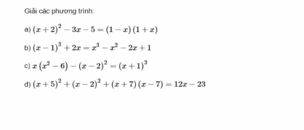
Chỉ cần vt công thức toán học thôi ạ ,môn tin học nhé,giúp e vs hứa tym và cho 5 saoGiải các phương trình: a) (r+ 2)? – 3x – 5 = (1 – x) (1+ æ) %3D b) (x – 1)*

Câu hỏi :

Chỉ cần vt công thức toán học thôi ạ ,môn tin học nhé,giúp e vs hứa tym và cho 5 sao

image

Lời giải 1 :

a) (x+2)*(x+2)-3*x-5-(1-x)*(1+x)

b) (x-1)*(x-1)*(x-1)+2*x=x*x*x-x*x-2*x+1

c) x*(x*x-6)-(x-2)*(x-2)=(x+1)*(x+1)

d) (x+5)*(x+5)+(x-2)*(x-2)+(x+7)*(x-7)-12*x-24

$#PEaking Blinder$

Thảo luận

Lời giải 2 :

a. (x+2)*(x+2)-3*x-5=(1-x)*(1+x)

b. (x-1)*(x-1)*(x-1)+2*x=x*x*x-x*x-2*x+1

c. x*(x*x-6)-(x-2)*(x-2)=(x+1)*(x+1)*(x+1)

d. (x+5)*(x+5)+(x-2)*(x-2)+(x+7)*(x-7)=12*x-23

Bạn có biết?

Tin học, tiếng Anh: informatics, tiếng Pháp: informatique, là một ngành khoa học chuyên nghiên cứu quá trình tự động hóa việc tổ chức, lưu trữ, xử lý và truyền dẫn thông tin của một hệ thống máy tính cụ thể hoặc trừu tượng (ảo). Với cách hiểu hiện nay, tin học bao hàm tất cả các nghiên cứu và kỹ thuật có liên quan đến việc mô phỏng, biến đổi và tái tạo thông tin.

Nguồn : Wikipedia - Bách khoa toàn thư

Tâm sự 8

Lớp 8 - Năm thứ ba ở cấp trung học cơ sở, học tập bắt đầu nặng dần, sang năm lại là năm cuối cấp áp lực lớn dần nhưng các em vẫn phải chú ý sức khỏe nhé!

Nguồn : ADMIN :))

Liên hệ hợp tác hoặc quảng cáo: gmail

Điều khoản dịch vụ

Copyright © 2021 HOCTAPSGK