Trang chủ Toán Học Lớp 7 Câu 6. ): Cho AABC cần tại A. Có điểm...

Câu 6. ): Cho AABC cần tại A. Có điểm H là trung điểm của BC a) Chứng minh :4 ABH : = A ACH. b)Kẻ HD - AB và HE AB, E E AC) Chứng minh: BD= CE, AC (DE DE /

Câu hỏi :

Giúp e câu này với. Mai thi rồi

image

Lời giải 1 :

Đáp án:

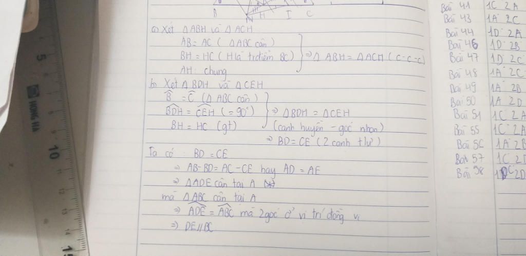
a) $\Delta ABH=\Delta ACH$

b) BD=CE ; $IN\perp AN$

Giải thích các bước giải:

a) Vì $\Delta ABC$ cân tại A (gt)
$\Rightarrow AB=AC$ (định nghĩa)
Xét $\Delta ABH$ và $\Delta ACH$ có:
AB=AC (cmt)
BH=HC (H là trung điểm của BC)
AH chung
$\Rightarrow \Delta ABH=\Delta ACH$ (c.c.c) (*)
b) Từ (*)$\Rightarrow \widehat{BAH}=\widehat{CAH}$ (hai góc tương ứng)
Xét $\Delta ADH$ và $\Delta AEH$ có:
$\widehat{ADH}=\widehat{AEH}(=90^{0})$
AH chung
$\widehat{BAH}=\widehat{CAH}$ (cmt)
$\Rightarrow \Delta ADH=\Delta AEH$ (cạnh huyền - góc nhọn)
$\Rightarrow \left\{\begin{matrix}
HD=HE\\ 
DA=AE
\end{matrix}\right. $
Gọi $AH\cap DE=${O}
Xét $\Delta ADO$ và $\Delta AEO$ có:
AD=AE (cmt)
$\widehat{BAH}=\widehat{CAH}$ (cmt)
AO chung
$\Rightarrow \Delta ADO=\Delta AEO$ (c.g.c)
$\Rightarrow \widehat{AOD}=\widehat{AOE}$ (hai góc tương ứng)
mà $\widehat{AOD}+\widehat{AOE}=90^{0}$ (hai góc phụ nhau)
$\Rightarrow AH\perp DE$ (1)
Từ (*)$\Rightarrow \widehat{AHB}=\widehat{AHC}$ (hai góc tương ứng)
mà $\widehat{AHB}+\widehat{AHC}=90^{0}$ (hai góc phụ nhau)
$\Rightarrow AH\perp BC$ (2)
Từ (1) và (2)$\Rightarrow DE//BC$ (từ vuông góc đến song song)
c) Không biết 

image

Thảo luận

Lời giải 2 :

Đáp án:

 

Giải thích các bước giải:

 Mình xin lỗi nhé vì câu c mình chưa nghĩ ra mông bạn thông cảm. Nếu cho hay nhất được thì mình cảm ơn bạn nhé

image
image

Bạn có biết?

Toán học là môn khoa học nghiên cứu về các số, cấu trúc, không gian và các phép biến đổi. Nói một cách khác, người ta cho rằng đó là môn học về "hình và số". Theo quan điểm chính thống neonics, nó là môn học nghiên cứu về các cấu trúc trừu tượng định nghĩa từ các tiên đề, bằng cách sử dụng luận lý học (lôgic) và ký hiệu toán học. Các quan điểm khác của nó được miêu tả trong triết học toán. Do khả năng ứng dụng rộng rãi trong nhiều khoa học, toán học được mệnh danh là "ngôn ngữ của vũ trụ".

Nguồn : Wikipedia - Bách khoa toàn thư

Tâm sự 7

Lớp 7 - Năm thứ hai ở cấp trung học cơ sở, một cuồng quay mới lại đến vẫn bước tiếp trên đường đời học sinh. Học tập vẫn là nhiệm vụ chính!

Nguồn : ADMIN :))

Liên hệ hợp tác hoặc quảng cáo: gmail

Điều khoản dịch vụ

Copyright © 2021 HOCTAPSGK