Trang chủ Toán Học Lớp 6 Bài 1: Một vận động viên phân phối thời gian...

Bài 1: Một vận động viên phân phối thời gian để chạy 100m như sau: Xuất phát 1/5 giây, tăng tốc là 11 giây và lao về đích 3/10 giây Hỏi vận động viên đó đã ch

Câu hỏi :

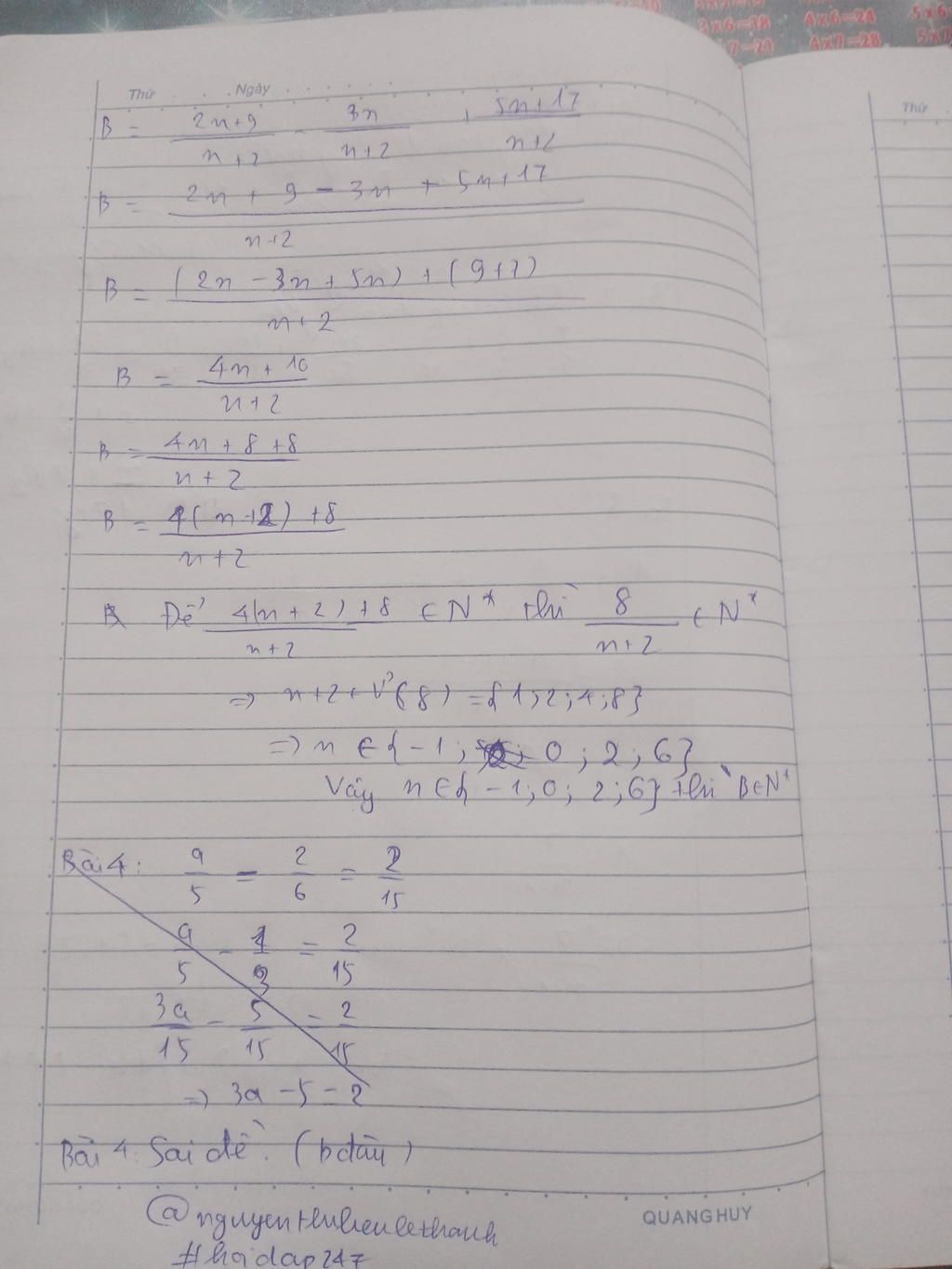
Bài 1: Một vận động viên phân phối thời gian để chạy 100m như sau: Xuất phát 1/5 giây, tăng tốc là 11 giây và lao về đích 3/10 giây Hỏi vận động viên đó đã chạy với thời gian là bao nhiêu? Bài 2: Một chiếc cặp chứa sách, vở và đồ dùng học tập khác. Biết rằng sách nặng 4/5 kg; vở nặng 2/3 kg; các dụng cụ khác nặng 3/10 kg. Hỏi chiếc cặp đó nặng bao nhiêu kg? Bài 3: Tìm số tự nhiên n, để mỗi biểu thức sau là 1 số tự nhiên A= 4/(n-1) + 6/(n-1) - 3/(n-1) ; B= 2n+9/n+2 - 3n/n+2 + 5n+17/n+2 Bài 4: Tìm a,b thuộc N* sao cho : a/5 - 2/6 =2/15

Lời giải 1 :

Xem hình ạ 

 

image
image

Thảo luận

Bạn có biết?

Toán học là môn khoa học nghiên cứu về các số, cấu trúc, không gian và các phép biến đổi. Nói một cách khác, người ta cho rằng đó là môn học về "hình và số". Theo quan điểm chính thống neonics, nó là môn học nghiên cứu về các cấu trúc trừu tượng định nghĩa từ các tiên đề, bằng cách sử dụng luận lý học (lôgic) và ký hiệu toán học. Các quan điểm khác của nó được miêu tả trong triết học toán. Do khả năng ứng dụng rộng rãi trong nhiều khoa học, toán học được mệnh danh là "ngôn ngữ của vũ trụ".

Nguồn : Wikipedia - Bách khoa toàn thư

Tâm sự 6

Lớp 6 - Là năm đầu tiên của cấp trung học cơ sở. Được sống lại những khỉ niệm như ngày nào còn lần đầu đến lớp 1, được quen bạn mới, ngôi trường mới, một tương lai mới!

Nguồn : ADMIN :))

Liên hệ hợp tác hoặc quảng cáo: gmail

Điều khoản dịch vụ

Copyright © 2021 HOCTAPSGK