Trang chủ Toán Học Lớp 6 giúp mình với mình đg cân gấp các bạn ko...

giúp mình với mình đg cân gấp các bạn ko làm tắt nhé câu hỏi 3661891 - hoctapsgk.com

Câu hỏi :

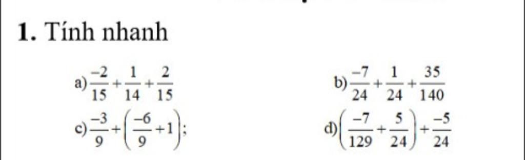
giúp mình với mình đg cân gấp các bạn ko làm tắt nhé

image

Lời giải 1 :

Ảnh có chỗ nào chưa rõ bạn bảo mình nhé

_Chúc bạn học tốt_

 

image
image
image
image
image

Thảo luận

-- mình cảm ơn bạn =)))
-- Không có gì đâu ạ
-- bạn ơi
-- mình có vài bài nayf bạn làm giúp mình đc ko
-- Nếu mình làm được mình sẽ giúp
-- bạn có zalo ko
-- Mình không nhé

Lời giải 2 :

Đáp án:

 

Giải thích các bước giải:

 a) -2/15 + 1/14 + 2/15 = ( -2/15+2/15)+1/14 = 0 + 1/14 = 1/14

b) -7/24 + 1/24 + 35/140 = ( -7/24 + 1/24 ) + 35/140 = -1/4 + 35/140 = -35/140 + 35/140 = 0

c) -3/9 + ( -6/9 + 1 ) = ( -3/9 + -6/9 ) + 1 = -1 + 1 = 0

d) ( -7/129 + 5/24 ) + -5/24 = ( -5/24 + 5/24 ) + -7/129 = 0 + -7/129 = -7/129

@Học tốt

Bạn có biết?

Toán học là môn khoa học nghiên cứu về các số, cấu trúc, không gian và các phép biến đổi. Nói một cách khác, người ta cho rằng đó là môn học về "hình và số". Theo quan điểm chính thống neonics, nó là môn học nghiên cứu về các cấu trúc trừu tượng định nghĩa từ các tiên đề, bằng cách sử dụng luận lý học (lôgic) và ký hiệu toán học. Các quan điểm khác của nó được miêu tả trong triết học toán. Do khả năng ứng dụng rộng rãi trong nhiều khoa học, toán học được mệnh danh là "ngôn ngữ của vũ trụ".

Nguồn : Wikipedia - Bách khoa toàn thư

Tâm sự 6

Lớp 6 - Là năm đầu tiên của cấp trung học cơ sở. Được sống lại những khỉ niệm như ngày nào còn lần đầu đến lớp 1, được quen bạn mới, ngôi trường mới, một tương lai mới!

Nguồn : ADMIN :))

Liên hệ hợp tác hoặc quảng cáo: gmail

Điều khoản dịch vụ

Copyright © 2021 HOCTAPSGK