Trang chủ Toán Học Lớp 10 C 2. Tìm m để pt: x2 – 2(m +...

C 2. Tìm m để pt: x2 – 2(m + 1)x + m² + 2 = 0 có 2 nghiệm thỏa mãn x} + x3 = 10 10 a) c)+2 =" e) |x1 – x2| = 2 X2 X1 3 b) 2x1 – x2 = -1 d) 3x1 + 2x2 = 9 %3

Câu hỏi :

Giúp em với. Em cảm ơn ạ.

image

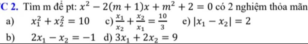
Lời giải 1 :

Huhu. Hơi mờ bạn thông cảm. Câu a c đây nha

image
image

Thảo luận

-- thôi ko sao bạn
-- vâng. mình cảm ơn bạn nhưng mà thấy vẫn có lỗi ấy :((
-- bạn rảnh k giúp mik câu c với
-- để mình nhờ mấy đứa bạn thử vì 3p nữa là mình vào lớp rồi
-- thế thì thôi cảm ơn bạn nhé
-- Câu c phía trên nha bạn. Mình mới giải xong
-- tks bạn
-- oki nè. cảm ơn bạn đã đánh giá 5 sao. mình thấy có lỗi nên k đòi hỏi phải sao hay ctlhn đâu >< nhưng vẫn phải cảm ơn bạn nhiều nhá

Bạn có biết?

Toán học là môn khoa học nghiên cứu về các số, cấu trúc, không gian và các phép biến đổi. Nói một cách khác, người ta cho rằng đó là môn học về "hình và số". Theo quan điểm chính thống neonics, nó là môn học nghiên cứu về các cấu trúc trừu tượng định nghĩa từ các tiên đề, bằng cách sử dụng luận lý học (lôgic) và ký hiệu toán học. Các quan điểm khác của nó được miêu tả trong triết học toán. Do khả năng ứng dụng rộng rãi trong nhiều khoa học, toán học được mệnh danh là "ngôn ngữ của vũ trụ".

Nguồn : Wikipedia - Bách khoa toàn thư

Tâm sự 10

Lớp 10 - Năm thứ nhất ở cấp trung học phổ thông, năm đầu tiên nên có nhiều bạn bè mới đến từ những nơi xa hơn vì ngôi trường mới lại mỗi lúc lại xa nhà mình hơn. Được biết bên ngoài kia là một thế giới mới to và nhiều điều thú vị, một trang mới đang chò đợi chúng ta.

Nguồn : ADMIN :))

Liên hệ hợp tác hoặc quảng cáo: gmail

Điều khoản dịch vụ

Copyright © 2021 HOCTAPSGK