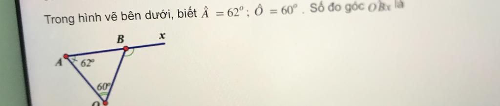
Trang chủ Toán Học Lớp 7 Trong hình vẽ bên dưới, biết  = 62° ;...

Trong hình vẽ bên dưới, biết  = 62° ; Ô = 60° . Số đo góc Ok là 62 60

Câu hỏi :

A 122 b 60 c 62 d 120

image

Lời giải 1 :

Giải thích các bước giải:

Ta có :  $\widehat{OBx}$ = $\widehat{A}$ +$\widehat{O}$ ( tính chất góc ngoài của tam giác )

⇒ $\widehat{OBx}$ `=  62^o + 60 = 122^o`

` Vậy ` $\widehat{OBx}$ `= 122^o`

Thảo luận

-- hi anh muchi
-- e ko bt viết latex à
-- không ạ anh
-- e vào đây xem nè https://hoidap247.com/huong-dan-latex
-- vâng em vào rồi sau đó
-- ai là em mày

Lời giải 2 :

Góc ngoài của mỗi tam giác là góc bằng tổng 2 góc trong không kề với nó

Ta có góc OBx là góc ngoài của ΔABO nên

Góc B thì kề với OBx 2 góc không kề với nó là góc A và O

Vậy góc OBx=góc A+O=60+62=122 độ

 

Bạn có biết?

Toán học là môn khoa học nghiên cứu về các số, cấu trúc, không gian và các phép biến đổi. Nói một cách khác, người ta cho rằng đó là môn học về "hình và số". Theo quan điểm chính thống neonics, nó là môn học nghiên cứu về các cấu trúc trừu tượng định nghĩa từ các tiên đề, bằng cách sử dụng luận lý học (lôgic) và ký hiệu toán học. Các quan điểm khác của nó được miêu tả trong triết học toán. Do khả năng ứng dụng rộng rãi trong nhiều khoa học, toán học được mệnh danh là "ngôn ngữ của vũ trụ".

Nguồn : Wikipedia - Bách khoa toàn thư

Tâm sự 7

Lớp 7 - Năm thứ hai ở cấp trung học cơ sở, một cuồng quay mới lại đến vẫn bước tiếp trên đường đời học sinh. Học tập vẫn là nhiệm vụ chính!

Nguồn : ADMIN :))

Liên hệ hợp tác hoặc quảng cáo: gmail

Điều khoản dịch vụ

Copyright © 2021 HOCTAPSGK