Trang chủ Toán Học Lớp 8 Vâng giải thik chi tiết tiếp giúp mik vs ạ...

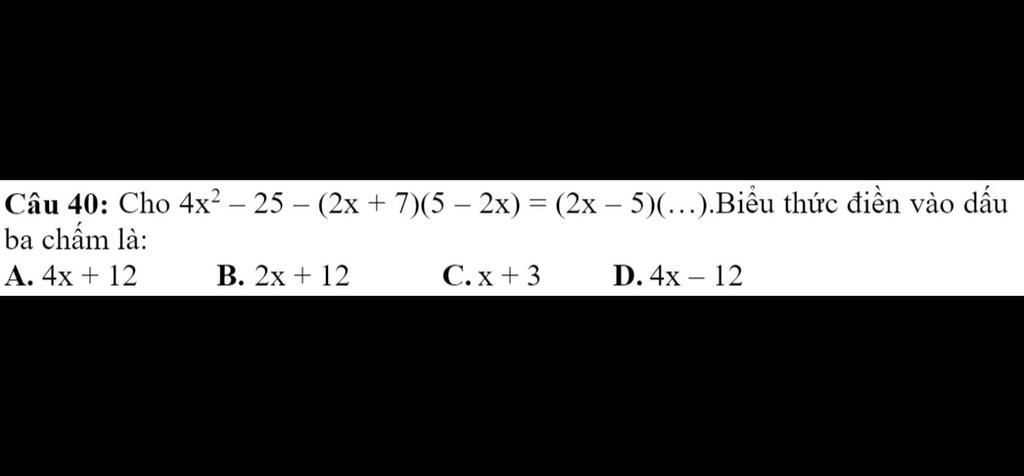
Vâng giải thik chi tiết tiếp giúp mik vs ạ ;v; Ai trl nhanh thì mik cho Ctrlnn và hứa cho 5 sao ạ ;v;Câu 40: Cho 4x? – 25 – (2x + 7)(5 – 2x) = (2x – 5)(...).Bi

Câu hỏi :

Vâng giải thik chi tiết tiếp giúp mik vs ạ ;v; Ai trl nhanh thì mik cho Ctrlnn và hứa cho 5 sao ạ ;v;

image

Lời giải 1 :

Đáp án: `A`

`4x^2 -25- (2x+7)(5-2x)`
`=[(2x)^2 -5^2] -(2x+7)(5-2x)`
`=(2x+5)(2x-5)-(2x+7)[-(2x-5)]`
`=(2x+5)(2x-5)-(2x+7)[(2x-5)`
`=(2x-5)[2x+7- -(2x+5)]`
`=(2x-5)(2x+7+2x+5)`
`=(2x-5)(4x+12)`

Giải thích các bước giải:

 

Thảo luận

-- bạn ơi phép tính của bạn có bị lỗi ko vậy?
-- ko bạn
-- ko bạn làm như trên cũng được tại mình làm khác người á :>>>
-- bạn ơi có tới hai dấu trừ luôn ;v;
-- đr 2 dấu trừ thành cộng á
-- biết sao đó trừ ko tại vì bạn thấy cái dấu `=` số 2 có dấu - đk nên đó thừa -1 nên nhân zô á :))

Lời giải 2 :

Đáp án:

 `A`

Giải thích các bước giải:

 `4x^2-25-(2x+7)(5-2x)`

`=(2x)^2-5^2-(2x+7)[-(2x-5)]`

`=(2x+5)(2x-5)+(2x+7)(2x-5)`

`=(2x-5)(2x+5+2x+7)`

`=(2x-5)(4x+12)`

Bạn có biết?

Toán học là môn khoa học nghiên cứu về các số, cấu trúc, không gian và các phép biến đổi. Nói một cách khác, người ta cho rằng đó là môn học về "hình và số". Theo quan điểm chính thống neonics, nó là môn học nghiên cứu về các cấu trúc trừu tượng định nghĩa từ các tiên đề, bằng cách sử dụng luận lý học (lôgic) và ký hiệu toán học. Các quan điểm khác của nó được miêu tả trong triết học toán. Do khả năng ứng dụng rộng rãi trong nhiều khoa học, toán học được mệnh danh là "ngôn ngữ của vũ trụ".

Nguồn : Wikipedia - Bách khoa toàn thư

Tâm sự 8

Lớp 8 - Năm thứ ba ở cấp trung học cơ sở, học tập bắt đầu nặng dần, sang năm lại là năm cuối cấp áp lực lớn dần nhưng các em vẫn phải chú ý sức khỏe nhé!

Nguồn : ADMIN :))

Liên hệ hợp tác hoặc quảng cáo: gmail

Điều khoản dịch vụ

Copyright © 2021 HOCTAPSGK