Trang chủ Toán Học Lớp 7 Câu 29: Cho biết x và y ti lệ nghịch...

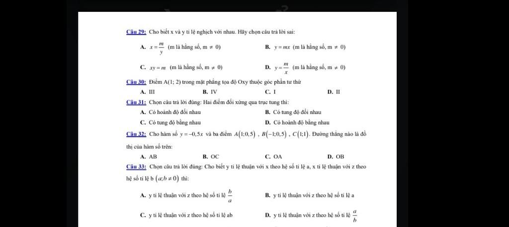
Câu 29: Cho biết x và y ti lệ nghịch với nhau. Hày chọn cầu trả lời sai: A. x (m là hằng số, m z 0) B. y= mx (m là hằng số, m 0) C. xy = m (m là hằng số, m

Câu hỏi :

Giúp mình với ạ .......:(((

image

Lời giải 1 :

Đáp án:

Câu 29:B

Câu 30:C

Câu 31:C

Câu 32:mình chưa biết

Câu 33:C

Giải thích các bước giải:

Câu 29:B

Câu 30:Điểm A(1; 2) có hoành độ và tung độ dương nên nó thuộc góc phần tư thứ I.

Câu 31:Hai điểm đối xứng qua trục tung thì Có tung độ bằng nhau       

Câu 32:Cho biết y tỉ lệ thuận với x theo hệ số tỉ lệ a, x tỉ lệ thuận với z theo hệ số tỉ lệ b (a;b ≠ 0 ) thì:  y tỉ lệ thuận với z theo hệ số tỉ lệ ab  

Thảo luận

Bạn có biết?

Toán học là môn khoa học nghiên cứu về các số, cấu trúc, không gian và các phép biến đổi. Nói một cách khác, người ta cho rằng đó là môn học về "hình và số". Theo quan điểm chính thống neonics, nó là môn học nghiên cứu về các cấu trúc trừu tượng định nghĩa từ các tiên đề, bằng cách sử dụng luận lý học (lôgic) và ký hiệu toán học. Các quan điểm khác của nó được miêu tả trong triết học toán. Do khả năng ứng dụng rộng rãi trong nhiều khoa học, toán học được mệnh danh là "ngôn ngữ của vũ trụ".

Nguồn : Wikipedia - Bách khoa toàn thư

Tâm sự 7

Lớp 7 - Năm thứ hai ở cấp trung học cơ sở, một cuồng quay mới lại đến vẫn bước tiếp trên đường đời học sinh. Học tập vẫn là nhiệm vụ chính!

Nguồn : ADMIN :))

Liên hệ hợp tác hoặc quảng cáo: gmail

Điều khoản dịch vụ

Copyright © 2021 HOCTAPSGK