Trang chủ Toán Học Lớp 7 mình cần các bạn trả lời câu này gấp để...

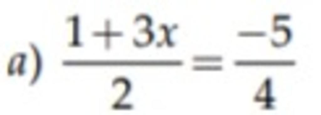
mình cần các bạn trả lời câu này gấp để mình ôn thi cảm ơn các bạn1+3x -5 a) 4 2.

Câu hỏi :

mình cần các bạn trả lời câu này gấp để mình ôn thi cảm ơn các bạn

image

Lời giải 1 :

Mình gửi bạn 

Ảnh có chỗ nào chưa rõ bạn bảo mình nhé

_Chúc bạn học tốt_

 

image

Thảo luận

-- bạn ơi sao cái dòng đầu bạn cho số 2 vào để làm gì vậy?
-- Chỗ nào ạ ??
-- cái dòng có dấu suy ra á bạn bạn cho số 2 trước (-5) để làm gì vậy?
-- Ah mình nhân chéo bạn nhé
-- à cảm ơn bạn
-- Không có gì đâu ạ

Lời giải 2 :

$\dfrac{1+3x}{2}=\dfrac{-5}{4}$

$⇒\dfrac{2\left(1+3x\right)}{2}=\dfrac{2\left(-5\right)}{4}$

$⇒1+3x=-\dfrac{5}{2}$

$⇒1+3x-1=-\dfrac{5}{2}-1$

$⇒3x=-\dfrac{7}{2}$

$⇒x=-\dfrac{7}{6}$

`Vậy` $x=-\dfrac{7}{6}$

Bạn có biết?

Toán học là môn khoa học nghiên cứu về các số, cấu trúc, không gian và các phép biến đổi. Nói một cách khác, người ta cho rằng đó là môn học về "hình và số". Theo quan điểm chính thống neonics, nó là môn học nghiên cứu về các cấu trúc trừu tượng định nghĩa từ các tiên đề, bằng cách sử dụng luận lý học (lôgic) và ký hiệu toán học. Các quan điểm khác của nó được miêu tả trong triết học toán. Do khả năng ứng dụng rộng rãi trong nhiều khoa học, toán học được mệnh danh là "ngôn ngữ của vũ trụ".

Nguồn : Wikipedia - Bách khoa toàn thư

Tâm sự 7

Lớp 7 - Năm thứ hai ở cấp trung học cơ sở, một cuồng quay mới lại đến vẫn bước tiếp trên đường đời học sinh. Học tập vẫn là nhiệm vụ chính!

Nguồn : ADMIN :))

Liên hệ hợp tác hoặc quảng cáo: gmail

Điều khoản dịch vụ

Copyright © 2021 HOCTAPSGK