Trang chủ Hóa Học Lớp 8 Giúp mk với ( mk hứa sẽ vote 5 sao...

Giúp mk với ( mk hứa sẽ vote 5 sao và câu trả lời hay nhất )BÀI 1: Viết phương trình hóa học và cho biết tỉ lệ số nguyên tử, số phân tử của các chất trong mỗi

Câu hỏi :

Giúp mk với ( mk hứa sẽ vote 5 sao và câu trả lời hay nhất )

image

Lời giải 1 :

Em tham khảo nha:

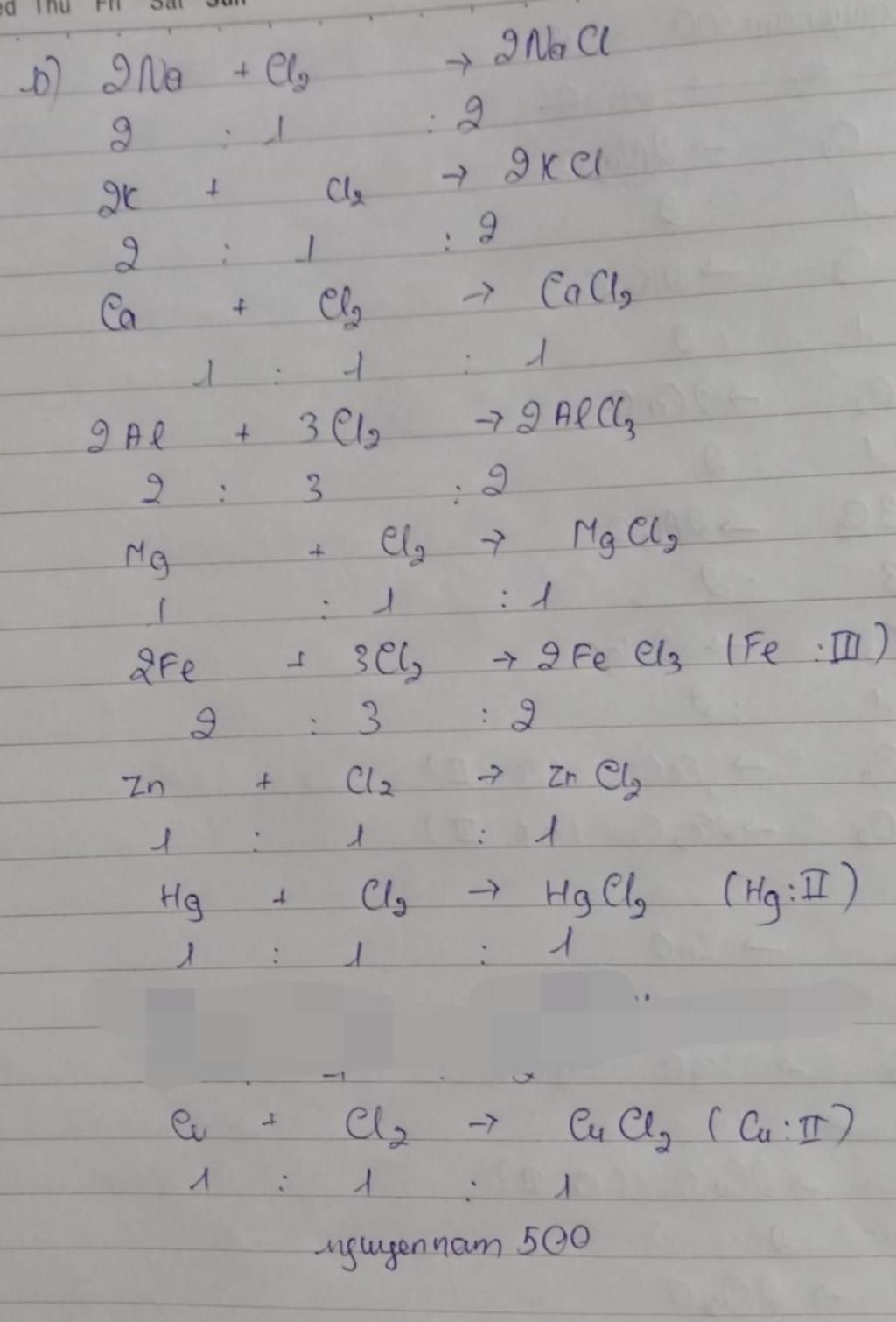
\(\begin{array}{l}
a)\\
4Na + {O_2} \xrightarrow{t^0} 2N{a_2}O\\
Na:{O_2}:N{a_2}O = 4:1:2\\
4K + {O_2} \xrightarrow{t^0} 2{K_2}O\\
K:{O_2}:{K_2}O = 4:1:2\\
2Ca + {O_2} \xrightarrow{t^0} 2CaO\\
Ca:{O_2}:CaO = 2:1:2\\
4Al + 3{O_2} \xrightarrow{t^0} 2A{l_2}{O_3}\\
Al:{O_2}:A{l_2}{O_3} = 4:3:2\\
2Mg + {O_2} \xrightarrow{t^0} 2MgO\\
Mg:{O_2}:MgO = 2:1:2\\
3Fe + 2{O_2} \xrightarrow{t^0} F{e_3}{O_4}\\
Fe:{O_2}:F{e_3}{O_4} = 3:2:1\\
2Zn + {O_2} \xrightarrow{t^0} 2ZnO\\
Zn:{O_2}:ZnO = 2:1:2\\
2Hg + {O_2} \xrightarrow{t^0} 2HgO\\
Hg:{O_2}:HgO = 2:1:2\\
2Cu + {O_2} \xrightarrow{t^0} 2CuO\\
Cu:{O_2}:CuO = 2:1:2\\
b)\\
2Na + C{l_2} \xrightarrow{t^0} 2NaCl\\
Na:C{l_2}:NaCl = 2:1:2\\
2K + C{l_2} \xrightarrow{t^0} 2KCl\\
K:C{l_2}:KCl = 2:1:2\\
Ca + C{l_2} \xrightarrow{t^0} CaC{l_2}\\
Ca:C{l_2}:CaC{l_2} = 1:1:1\\
2Al + 3C{l_2} \xrightarrow{t^0} 2AlC{l_3}\\
Al:C{l_2}:AlC{l_3} = 2:3:2\\
Mg + C{l_2} \xrightarrow{t^0} MgC{l_2}\\
Mg:C{l_2}:MgC{l_2} = 1:1:1\\
2Fe + 3C{l_2} \xrightarrow{t^0} 2FeC{l_3}\\
Fe:C{l_2}:FeC{l_3} = 2:3:2\\
Zn + C{l_2} \xrightarrow{t^0} ZnC{l_2}\\
Zn:C{l_2}:ZnC{l_2} = 1:1:1\\
Hg + C{l_2} \xrightarrow{t^0} HgC{l_2}\\
Hg:C{l_2}:HgC{l_2} = 1:1:1\\
Cu + C{l_2} \xrightarrow{t^0} CuC{l_2}\\
Cu:C{l_2}:CuC{l_2} = 1:1:1
\end{array}\)

Thảo luận

-- Vâng ạ
-- bạn giải thích cho mk Fe(II,III) với O2 đc ko
-- Mỗi phương trình có 1 hóa trị về nguyên tử hay phân tử nhất định
-- bài bạn làm khác với bài này
-- Thường người ta chỉ cho với những phương trình có nguyên tử có 1 hoá trị nhất định cách tạo thành phân tử á bạn về học lại lí thuyết và cách áp dụng cái ý đi
-- uk
-- Thật ra là mình nghĩ là phải thêm 1 phương trình nữa bởi vì đề ra có thêm Fe($ll$,$lll$)nên mình làm thêm 1 phương trình
-- vậy là một phương trình hóa trị I một phương trình hóa trị II ak

Lời giải 2 :

Đáp án:

 

Giải thích các bước giải:

 

image
image

Bạn có biết?

Hóa học, một nhánh của khoa học tự nhiên, là ngành nghiên cứu về thành phần, cấu trúc, tính chất, và sự thay đổi của vật chất.Hóa học nói về các nguyên tố, hợp chất, nguyên tử, phân tử, và các phản ứng hóa học xảy ra giữa những thành phần đó.Hóa học đôi khi được gọi là "khoa học trung tâm" vì nó là cầu nối các ngành khoa học tự nhiên khác như vật lý học, địa chất học và sinh học.

Nguồn : Wikipedia - Bách khoa toàn thư

Tâm sự 8

Lớp 8 - Năm thứ ba ở cấp trung học cơ sở, học tập bắt đầu nặng dần, sang năm lại là năm cuối cấp áp lực lớn dần nhưng các em vẫn phải chú ý sức khỏe nhé!

Nguồn : ADMIN :))

Liên hệ hợp tác hoặc quảng cáo: gmail

Điều khoản dịch vụ

Copyright © 2021 HOCTAPSGK