Trang chủ Toán Học Lớp 7 II/ BÀI TẬP: Bài 1: Thu gọn đa thức sau...

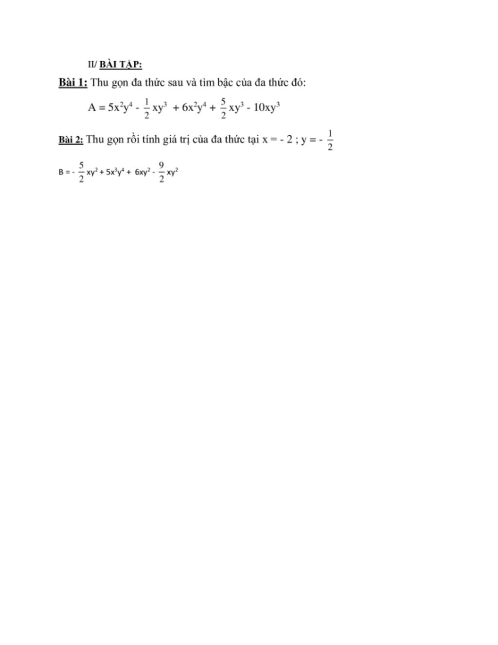
II/ BÀI TẬP: Bài 1: Thu gọn đa thức sau và tìm bậc của đa thức đó: A = 5x°y* - xy' + 6x°y" + xy' - 10xy Bài 2: Thu gọn rồi tính giá trị của đa thức tại x =

Câu hỏi :

Làm giúp mình bài đa thức

image

Lời giải 1 :

Bài 1:

*Thu gọn

A=5x²y⁴-1/2xy³+6x²y⁴+5/2xy³-10xy³

A=(5x²y⁴+6x²y⁴)+(-1/2xy³+5/2xy³-10xy³)

A=11x²y⁴-8xy³

Bậc của đa thức A là:10

Bài 2:

*Thu gọn:

B=-5xy²+5x³y⁴+6xy²-9/2xy²

B=(-5xy²+6xy²-9/2xy²)+5x³y⁴

B=-7/2xy²+5x³y⁴

Thay x=-2;y=-1/2 vào đa thức B trên,ta có:-7/2.(-2).(-1/2)²+5.(-2)³.(-1/2)⁴

=-3/4

Vậy giá trị đa thức B=-7/2xy²+5x³y⁴ tại x=-2;y=-1/2 là:-3/4

CHÚC BN HC TỐT!

HÃY VOTE+TKS+TLHN.

Thungoanh.

 

Thảo luận

-- Tks bn nhìu nhen

Lời giải 2 :

Đáp án:

 

Giải thích các bước giải:

Bài 1:

*Thu gọn

A=5x²y⁴-1/2xy³+6x²y⁴+5/2xy³-10xy³

A=(5x²y⁴+6x²y⁴)+(-1/2xy³+5/2xy³-10xy³)

A=11x²y⁴-8xy³

 

Bạn có biết?

Toán học là môn khoa học nghiên cứu về các số, cấu trúc, không gian và các phép biến đổi. Nói một cách khác, người ta cho rằng đó là môn học về "hình và số". Theo quan điểm chính thống neonics, nó là môn học nghiên cứu về các cấu trúc trừu tượng định nghĩa từ các tiên đề, bằng cách sử dụng luận lý học (lôgic) và ký hiệu toán học. Các quan điểm khác của nó được miêu tả trong triết học toán. Do khả năng ứng dụng rộng rãi trong nhiều khoa học, toán học được mệnh danh là "ngôn ngữ của vũ trụ".

Nguồn : Wikipedia - Bách khoa toàn thư

Tâm sự 7

Lớp 7 - Năm thứ hai ở cấp trung học cơ sở, một cuồng quay mới lại đến vẫn bước tiếp trên đường đời học sinh. Học tập vẫn là nhiệm vụ chính!

Nguồn : ADMIN :))

Liên hệ hợp tác hoặc quảng cáo: gmail

Điều khoản dịch vụ

Copyright © 2021 HOCTAPSGK