Trang chủ Toán Học Lớp 7 13:58 .il .l Lý thuyết và b... Vậy giá trị...

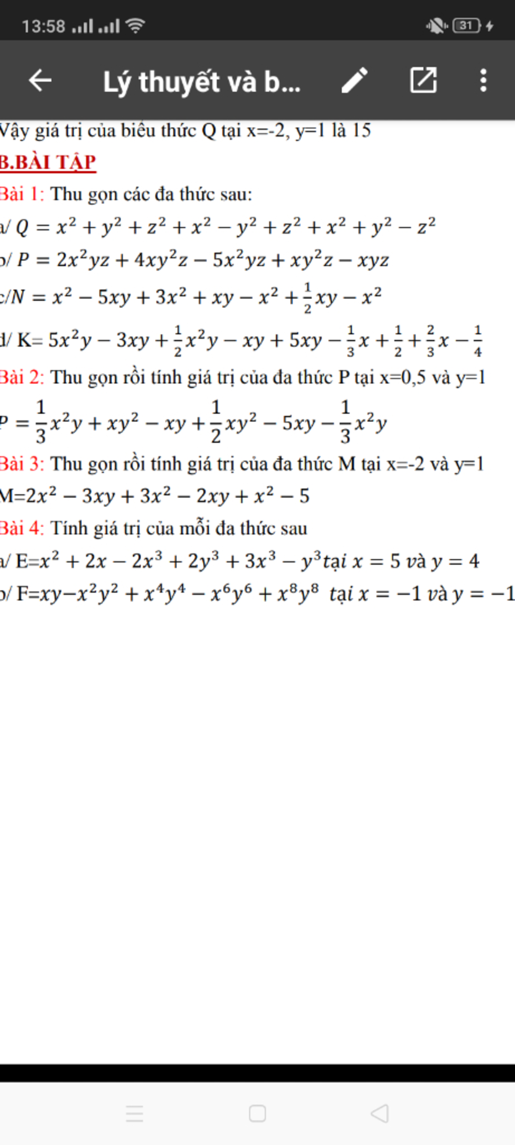
13:58 .il .l Lý thuyết và b... Vậy giá trị của biểu thức Q tại x=-2, y=1 là 15 B.BÀI TẬP Bài 1: Thu gọn các đa thức sau: v Q = x² + y² + z² + x² – y² + z²

Câu hỏi :

Giúp mình bài tập này đi mọi người yêu ơi 🖤🖤

image

Lời giải 1 :

*Gửi bn*

K có sai đâu.

Hãy vote 5*+thanks+câu tl hay nhất.

Chép cho kỹ nhìn nhầm là sai cả bài.

CHÚC BN HC TỐT!

Thungoanh.

image
image
image

Thảo luận

-- Bạn làm ko phân biệt đc Trên bài bài Dưới bài mấy Bài 2 bạn làm giống bài số 3
-- Giống đâu mà giống bị cận ak
-- Bài 3 vt lộn là P nhưng sửa lại là M r
-- Tôi là ng ik ngang wa đây mà thấy tội bn Thungoanh ghê
-- ......?????
-- Bạn vô trang cá nhân mình ak , mới ra câu hỏi
-- Tr ơi ko cho ngta câu tl hay nhất mà kêu ngta làm bài dùm mà ko bt nhục
-- Bà thứ mặc dày mà cứ sủa

Lời giải 2 :

Đáp án:

 

Giải thích các bước giải:hhihihijjii

 

Bạn có biết?

Toán học là môn khoa học nghiên cứu về các số, cấu trúc, không gian và các phép biến đổi. Nói một cách khác, người ta cho rằng đó là môn học về "hình và số". Theo quan điểm chính thống neonics, nó là môn học nghiên cứu về các cấu trúc trừu tượng định nghĩa từ các tiên đề, bằng cách sử dụng luận lý học (lôgic) và ký hiệu toán học. Các quan điểm khác của nó được miêu tả trong triết học toán. Do khả năng ứng dụng rộng rãi trong nhiều khoa học, toán học được mệnh danh là "ngôn ngữ của vũ trụ".

Nguồn : Wikipedia - Bách khoa toàn thư

Tâm sự 7

Lớp 7 - Năm thứ hai ở cấp trung học cơ sở, một cuồng quay mới lại đến vẫn bước tiếp trên đường đời học sinh. Học tập vẫn là nhiệm vụ chính!

Nguồn : ADMIN :))

Liên hệ hợp tác hoặc quảng cáo: gmail

Điều khoản dịch vụ

Copyright © 2021 HOCTAPSGK