Trang chủ Hóa Học Lớp 8 14. Khử 36 FeO dùng 1,5g H2 thu Fe và...

14. Khử 36 FeO dùng 1,5g H2 thu Fe và H;O. a) V(1) dư (đkc). c) Nếu cho sắt trên tác dụng với khí Clo (Cl2) thu FeCl3. Tính thể tích Cl2 (đkc); m(g) FeCl3

Câu hỏi :

Giúp mình bài này với, cảm ơn ạ!

image

Lời giải 1 :

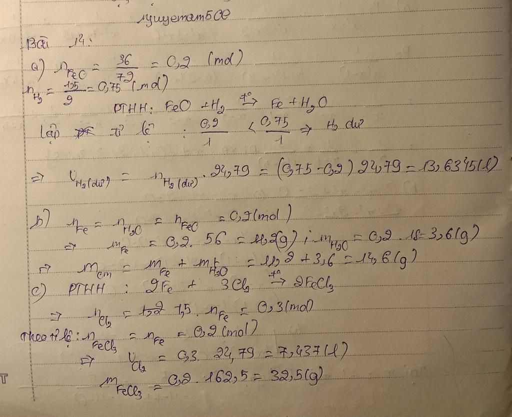
Bài 14:

$a,n_{FeO}=\dfrac{36}{72}=0,2(mol);n_{H_2}=\dfrac{1,5}{2}=0,75(mol)\\ PTHH:FeO+H_2\xrightarrow{t^o}Fe+H_2O\\ \text{Lập tỉ lệ: }\dfrac{0,2}{1}<\dfrac{0,75}{1}\Rightarrow H_2\text{ dư}\\ \Rightarrow V_{H_2(dư)}=n_{H_2(dư)}.24,79=(0,75-0,2).24,79=13,6345(l)\\ b,n_{Fe}=n_{H_2O}=n_{FeO}=0,2(mol)\\ \Rightarrow m_{Fe}=0,2.56=11,2(g);m_{H_2O}=0,2.18=3,6(g)\\ \Rightarrow m_{sp}=m_{Fe}+m_{H_2O}=11,2+3,6=14,8(g)\\ c,PTHH:2Fe+3Cl_2\xrightarrow{t^o}2FeCl_3\\ \Rightarrow n_{Cl_2}=1,5.n_{Fe}=0,3(mol);n_{FeCl_3}=n_{Fe}=0,2(mol)\\ \Rightarrow V_{Cl_2}=0,3.24,79=7,437(l);m_{FeCl_3}=0,2.162,5=32,5(g)$

Bài 15:

$a,n_{C_2H_6O}=\dfrac{9,2}{46}=0,2(mol)\\ PTHH:C_2H_6O+3O_2\to 2CO_2+3H_2O\\ \Rightarrow n_{CO_2}=0,4(mol);n_{H_2O}=0,6(mol)\\ \Rightarrow m_{CO_2}=0,4.44=17,6(g);m_{H_2O}=0,6.18=10,8(g)\\ b,n_{O_2}=n_{H_2O}=0,6(mol)\Rightarrow V_{O_2}=0,6.24,79=14,874(l)\\ \Rightarrow V_{kk}=14,874.5=74,37(l)\\ c,PTHH:2H_2O\xrightarrow{đpdd}2H_2+O_2\\ \Rightarrow n_{H_2}=n_{H_2O}=0,6(mol)\\ \Rightarrow V_{H_2}=0,6.24,79=14,874(l)$

Bài 16:

$a,n_{CO_2}=\dfrac{35,2}{44}=0,8(mol)\\ PTHH:2C_4H_{10}+13O_2\xrightarrow{t^o}8CO_2+10H_2O\\ \Rightarrow n_{C_4H_{10}}=\dfrac{1}{4}n_{CO_2}=0,2(mol)\\ n_{O_2}=\dfrac{13}{8}n_{CO_2}=1,3(mol)\\ \Rightarrow V_{C_4H_{10}}=0,2.24,79=4,958(l)\\ V_{O_2}=1,3.24,79=32,227(l)\\ b,PTHH:2Na+2H_2O\to 2NaOH+H_2\\ n_{H_2O}=\dfrac{10}{8}n_{CO_2}=1(mol) \Rightarrow n_{H_2}=\dfrac{1}{2}n_{H_2O}=0,5(mol)\\ \Rightarrow V_{H_2}=0,5.24,79=12,395(l)$

Thảo luận

-- Cảm ơn bạn!!!
-- cho hay nhất đi màaa

Lời giải 2 :

Đáp án:

 

Giải thích các bước giải:

 

image
image

Bạn có biết?

Hóa học, một nhánh của khoa học tự nhiên, là ngành nghiên cứu về thành phần, cấu trúc, tính chất, và sự thay đổi của vật chất.Hóa học nói về các nguyên tố, hợp chất, nguyên tử, phân tử, và các phản ứng hóa học xảy ra giữa những thành phần đó.Hóa học đôi khi được gọi là "khoa học trung tâm" vì nó là cầu nối các ngành khoa học tự nhiên khác như vật lý học, địa chất học và sinh học.

Nguồn : Wikipedia - Bách khoa toàn thư

Tâm sự 8

Lớp 8 - Năm thứ ba ở cấp trung học cơ sở, học tập bắt đầu nặng dần, sang năm lại là năm cuối cấp áp lực lớn dần nhưng các em vẫn phải chú ý sức khỏe nhé!

Nguồn : ADMIN :))

Liên hệ hợp tác hoặc quảng cáo: gmail

Điều khoản dịch vụ

Copyright © 2021 HOCTAPSGK