Trang chủ Toán Học Lớp 9 [4x-3y+5(x-y)3=1 1. 2x-4(2y-1)=1 - câu hỏi 3522128

[4x-3y+5(x-y)3=1 1. 2x-4(2y-1)=1 - câu hỏi 3522128

Câu hỏi :

Giải hệ pt lẹ nào mn

image

Lời giải 1 :

`\text{Milk gửi ẹ}`🥛😳

`\text{Đáp án+ Giải thích các bước giải:}`

`{(4x-3y+5(x-y)=1),(2x-4(2y-1)=1):}``<=>``{(4x-3y+5x-5y=1),(2x-8y+4=1):}``<=>``{(9x-8y=1),(2x-8y=-3):}`
`<=>``{(9x-8y-(2x-8y)=1-(-3)),(2x-8y=-3):}``<=>``{(9x-8y-2x+8y=1+3),(2x-8y=-3):}`

`<=>``{(7x=4),(2x-8y=-3):}``<=>``{(x=4/7),(2*4/7-8y=-3):}``<=>``{(x=4/7),(8y=29/7):}``<=>``{(x=4/7),(y=29/56):}`
Vậy (x; y)= `(4/7;` `29/56)`

*Áp dụng: Phương pháp cộng đại số.

Thảo luận

-- có j xem lại kết quả thử nha bạn
-- Rồi nhé.
-- làm chi tiết thêm xíu đi bro
-- Vâng
-- à thôi
-- ko cần nx đâu
-- Được chưa ạ?
-- đr

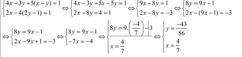
Lời giải 2 :

bạn xem hình 

Kl : hệ phương trình có một nghiệm `(4/7; -43/56)`

image

Bạn có biết?

Toán học là môn khoa học nghiên cứu về các số, cấu trúc, không gian và các phép biến đổi. Nói một cách khác, người ta cho rằng đó là môn học về "hình và số". Theo quan điểm chính thống neonics, nó là môn học nghiên cứu về các cấu trúc trừu tượng định nghĩa từ các tiên đề, bằng cách sử dụng luận lý học (lôgic) và ký hiệu toán học. Các quan điểm khác của nó được miêu tả trong triết học toán. Do khả năng ứng dụng rộng rãi trong nhiều khoa học, toán học được mệnh danh là "ngôn ngữ của vũ trụ".

Nguồn : Wikipedia - Bách khoa toàn thư

Tâm sự 9

Lớp 9 - Là năm cuối ở cấp trung học cơ sở, sắp phải bước vào một kì thi căng thẳng và sắp chia tay bạn bè, thầy cô và cả kì vọng của phụ huynh ngày càng lớn mang tên "Lên cấp 3". Thật là áp lực nhưng các em hãy cứ tự tin vào bản thân là sẻ vượt qua nhé!

Nguồn : ADMIN :))

Liên hệ hợp tác hoặc quảng cáo: gmail

Điều khoản dịch vụ

Copyright © 2021 HOCTAPSGK