Trang chủ Vật Lý Lớp 10 Một viên đạn có khối lượng m đang bay ngang...

Một viên đạn có khối lượng m đang bay ngang với vận tốc 1500m/s thì nổ thành hai mảnh có khối lượng là m1=-0,5 m2. Mảnh thứ hai bay lên theo phương thẳng đứ

Câu hỏi :

Một viên đạn có khối lượng m đang bay ngang với vận tốc 1500m/s thì nổ thành hai mảnh có khối lượng là m1=-0,5 m2. Mảnh thứ hai bay lên theo phương thẳng đứng với vận tốc 2500m/s. Bỏ qua sức cản của không khí. Mảnh thứ nhất bay với tốc độ bao nhiêu? Phương của mảnh thứ nhất so với phương ngang?

Lời giải 1 :

Đáp án:

 \(6726,9\left( {m/s} \right)\)

Giải thích các bước giải:

Ta có: 

\(\begin{array}{l}
{m_1} = 0,5{m_2} \Rightarrow \left\{ \begin{array}{l}
{m_1} = \dfrac{m}{3}\\
{m_2} = \dfrac{{2m}}{3}
\end{array} \right.\\
p = mv = 1500m\\
{p_2} = {m_2}{v_2} = \dfrac{{2m}}{3}.2500 = \dfrac{{5000}}{3}m\\
{p_1} = \sqrt {{p^2} + p_2^2}  = \sqrt {{{\left( {1500m} \right)}^2} + {{\left( {\dfrac{{5000}}{3}m} \right)}^2}} \\
 \Rightarrow {p_1} = 2242,3m\left( {kgm/s} \right)\\
{v_1} = \dfrac{{{p_1}}}{{{m_1}}} = \dfrac{{2242,3m}}{{\dfrac{m}{3}}} = 6726,9\left( {m/s} \right)\\
\cos \alpha  = \dfrac{p}{{{p_1}}} = \dfrac{{1500m}}{{2242,3m}} = 0,67\\
 \Rightarrow \alpha  = 48,{01^o}
\end{array}\)

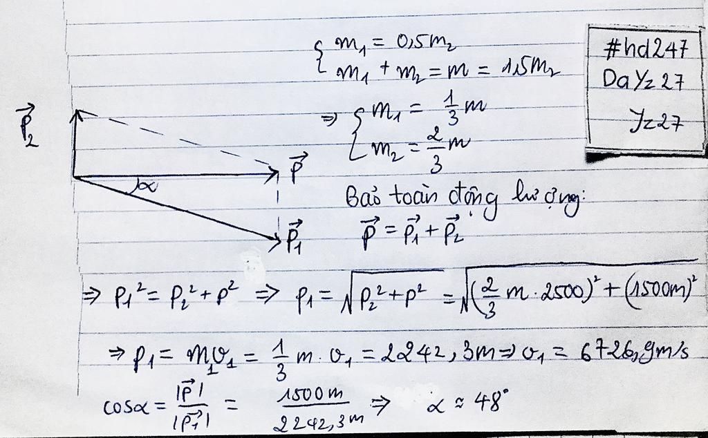
Lời giải 2 :

Đáp án + Giải thích các bước giải:

image

Bạn có biết?

Vật lý học là môn khoa học tự nhiên tập trung vào sự nghiên cứu vật chất và chuyển động của nó trong không gian và thời gian, cùng với những khái niệm liên quan như năng lượng và lực. Vật lý học là một trong những bộ môn khoa học lâu đời nhất, với mục đích tìm hiểu sự vận động của vũ trụ. Hãy khám phá và hiểu rõ những quy luật tự nhiên xung quanh chúng ta!

Nguồn :

Wikipedia - Bách khoa toàn thư

Tâm sự lớp 10

Lớp 10 - Năm đầu tiên ở cấp trung học phổ thông, chúng ta sẽ có nhiều bạn bè mới đến từ những nơi khác nhau. Ngôi trường mới, xa nhà hơn, mở ra một thế giới mới với nhiều điều thú vị. Hãy mở lòng đón nhận và tận hưởng những trải nghiệm mới!

Nguồn :

sưu tập

Liên hệ hợp tác hoặc quảng cáo: gmail

Điều khoản dịch vụ

Copyright © 2021 HOCTAPSGK